【摘要】插电式混合动力汽车(Plug-in Hybrid Electric Vehicle,PHEV)通过融合内燃机与电动机优势,在动力性、经济性和环保性之间实现平衡。作为PHEV研发的关键技术,动力系统参数匹配与整车性能仿真技术直接决定其产品的综合性能与市场竞争力。本文系统阐述动力系统参数匹配的方法,深度融合MATLAB/Simulink、AVLCRUISE等专业仿真工具,构建覆盖动力性、经济性及热管理的多维度整车性能仿真体系架构。通过典型工程案例实证分析,量化验证参数匹配对整车性能的优化效能,并对该技术的未来发展趋势进行探讨。
【摘要】本文提出一种并联混动汽车AMT变速器换挡控制优化方法,通过对换挡位置进行动态学习与调整,以避免拨叉磨损,提升变速器总成可靠性。文中从故障现象、原因分析、结构布置、试验验证四个方面,详细阐述控制优化过程。
【摘要】针对纯电动皮卡在低速蠕行工况下的纵向力控制问题,为提升控制精度、驾驶平顺性及抗扰动鲁棒性,文章提出一种融合实时坡度前馈的动态约束模型预测控制策略。首先,建立考虑多源阻力耦合的整车纵向动力学离散状态空间模型。其次,构建以速度跟踪误差、扭矩变化率及能量消耗为优化目标的多目标代价函数,其核心创新在于设计基于实时坡度前馈的动态约束调整机制,通过实时估算坡道阻力,动态修正电机扭矩约束边界,增强控制器在大坡度扰动下的鲁棒性与优化问题求解可行性。最后,基于国产纯电皮卡搭建实车测试平台完成验证。结果表明:与传统比例-积分-微分控制器相比,所提MPC控制器将速度跟踪平均绝对误差降低 53.1% ,扭矩变化率波动(表征驾驶平顺性)降低 52.4% ,在坡道与载荷变化工况下均表现出优异的动态响应特性,可显著提升蠕行工况综合控制品质,具备工程应用价值。
【摘要】新能源汽车热管理系统主要涉及动力电池、座舱空调以及电机电控系统三个方面,是保障车辆安全、性能和用户体验的核心技术。其核心目标是通过统筹各零部件产生的热量,提升能源效率、保障安全性并延长零部件寿命,尤其对电动汽车的续驶里程和性能表现有着关键作用。因此,热管理系统的正确设计与应用对整车可靠性极为重要。本文将从整车角度分析当下主流汽车热管理方案的工作原理,为未来汽车热管理技术的发展提供一定的参考。
【摘要】漆包线作为电机三大主绝缘材料之一,直接影响电机输出性能与使用寿命。为探究不同涂层高压扁线的性能表现,本文从绝缘老化机理分析入手,建立主绝缘铜线的热-湿-油-电多因子老化模型,经高湿、自动变速箱油、高低温等多因子老化处理后,验证不同涂层扁线的老化特性。
【摘要】本文提出一种集成加热膜与直冷板的一体化电池热管理方案,通过结构优化与功能融合显著提升温控性能。该系统在制冷工况下,可将电芯最大温差从 11.4°C 降至 8.7°C ;加热模式下,升温速率可达 1.1°C/ min,且电芯温差控制在 5°C 以内,均温性良好。该复合板结构紧凑,具备高效双向调温能力与优良温度均匀性,为电动汽车电池在复杂环境下的热管理提供可靠解决方案。
【摘要】随着新能源汽车产业快速发展,动力电池模组安全性问题愈发凸显,热失控防护与热管理是保障电池安全的关键环节。本文深入探讨动力电池模组热失控的诱因和防护技术发展,重点分析热管理材料的类型、性能及应用(包括热传导材料、热障材料和相变材料),并展望未来热失控防护与热管理材料的发展趋势,旨在为动力电池模组的安全设计与优化提供理论支持和技术参考。
【摘要】本文解析比亚迪汉EV刀片电池能量密度平衡机制:采用长条形单体与无模组化设计,体积利用率达 60% ,第一代能量密度为 140Wh/kg ,第二代达 190Wh/kg (试验数据 210Wh/kg );集成直冷式热管理与BMS主动均衡,温差 <5°C ,循环寿命超3000次。实测 -30°C 续航保持 92% ,800V平台 15min 快充至80% 。研究揭示其通过结构优化与智能算法协同,平衡能量密度、安全与寿命,为高能量密度电池设计提供参考。
【摘要】在新能源汽车产业高速发展的背景下,动力电池已成为支撑其性能的关键技术组件。然而,动力电池在实际运行过程中,常面临过热、短路、过充及过放等安全隐患,这类问题不仅可能造成电池性能衰减,严重时还会引发安全事故。为切实提升动力电池安全性,各类先进监测技术与管理方案已在行业内开展广泛研究并投入实际应用。通过对温度、电压、电流等关键运行参数实施实时监测,结合电池管理系统开展动态调控,可有效提前防范电池故障发生。智能化监控系统与大数据分析技术的深度融合,还为动力电池安全提供了更为精准的预警机制,有力保障了新能源汽车整体运行的安全性与稳定性。依托这些技术手段,动力电池在使用过程中的安全性与可靠性可得到显著提升,进而为新能源汽车行业持续健康发展提供有力支撑。
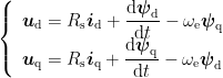
【摘要】永磁同步电机凭借高功率密度、高效率及出色的动态响应特性,已成为新能源汽车驱动系统的核心动力单元。本文从系统层面对其动态特性开展研究,通过构建d-q坐标系下的数学模型,分析电磁转矩、转速、电流及外扰的响应过程,阐释转矩波动与参数耦合的作用机理。研究结果表明,合理的结构设计与先进的控制策略可显著提升电机响应速度及系统稳定性,为电动汽车驱动性能与能效优化提供理论与技术支撑。
【摘要】车载充电机是新能源汽车核心部件,可将220V/380V交流电转换为适配动力电池的直流电,还支持V2G逆变充电。本文介绍其分类、组成及工作原理;阐述功率选择方法,如60kW·h电池选用6.6kWOBC较合理;介绍试验要求,包括交流输入电压等6项试验;分析失效模式,如热敏电阻损坏等;给出整改措施,如更换热敏电阻、修改软件等。最后指出车载充电机向更高集成度、更高效能量转换、更安全稳定发展,为后续开发设计提供参考。
【摘要】随着新能源汽车产业的快速发展,驱动电机作为核心动力部件,其装配品质直接影响整车续航能力及使用寿命。当前主流生产工艺中,定子铁芯压装变形、转子磁吸偏移等精度控制难题已成为制约电机能效与可靠性的关键瓶颈。本文围绕驱动电机装配工艺核心痛点展开系统性优化探讨,旨在构建覆盖制造、检测全流程的装配范式,为新能源汽车电驱系统的高效、长寿命运行提供工艺保障。
【摘要】磁流变智能阻尼系统是新能源汽车的重要组成部分,不仅直接影响汽车的舒适度,还关系到汽车的安全运行状态。本文针对磁流变智能阻尼系统,分析半主动控制策略,以期为新能源汽车产业的发展提供更多参考。
【摘要】新能源汽车热泵空调系统在运行过程中会对电池能耗产生影响,该系统可在车辆制冷与供暖过程中实现能效转换,在提升驾乘舒适性的同时,直接作用于电池的能耗水平与车辆续航能力。本文围绕新能源汽车热泵空调系统对电池能耗与续航的影响展开探讨,分析不同工作模式下空调负载的变化规律及热泵效率的提升潜力,结合环境温度的波动研究热泵空调系统的性能表现,并提出针对性优化策略,旨在通过优化空调系统运行状态,提高新能源汽车的电池续航能力。
【摘要】随着新能源汽车产业的快速发展,电池故障诊断与售后服务标准化成为保障车辆安全、提升用户体验的关键。文章从电池故障类型、诊断技术、售后流程标准化设计、品质管理体系及实践案例5个维度展开研究,提出基于多维度数据融合的故障诊断模型与全流程标准化服务方案,为行业提供理论支持与实践参考。
【摘要】随着电动汽车快速发展,充电桩的安全性与运行监控成为关键问题。本文设计并实现基于STM32的智能充电桩监控系统,采用物联网三层架构,集成下位机、多传感器、无线模块及手机APP,实现对温度、烟雾、一氧化碳、电压、电流及车辆流量的实时采集与闭环控制。软件以C语言开发,通过阈值逻辑自动控制风扇、继电器及计费,并通过Wi-Fi实现下位机与APP双向通信。测试表明,系统稳定可靠,可及时响应异常,准确完成身份识别与计费,为远程监控与智能管理提供技术基础。
【摘要】随着新能源汽车快速普及,智能充电桩的能效水平直接影响电网稳定性与运营成本。本文通过构建能效分析框架,深入研究电气系统结构与能量传输机制,精准识别关键损耗环节,量化分析充电负荷对电网的影响。试验结果显示: 10kV 直接供电方式可使能效提升 2.3% ;峰谷电价调控能降低电费成本 28% ;配电拓扑优化使线路损耗减少 18% ;通信系统节能措施可降低通信模块能耗 48% 。综合优化方案最终实现 28.4% 的节能率,为充电基础设施建设提供理论依据与技术支撑,对推动新能源汽车产业可持续发展和“双碳”目标实现具有重要意义。
【摘要】新能源汽车产业飞速发展,其特有的电气火灾危险逐渐凸显。为此,本文依托多源数据融合技术,搭建了一种新能源汽车电气火灾风险监测平台。该平台通过集成电池状态、充电参数、环境指标等多方面信息,结合人工智能分析手段,实现对电气火灾风险的提前识别和智能报警。平台采用分层架构,包含感知层、网络层、数据处理层和应用层,支持从数据收集开始的风险防控全闭环。在北京市某新能源汽车专用充电站进行的为期3个月的试点应用显示,该平台将火灾预警准确率从传统单一参数监测的 72.3% 提升至 98.5% ,平均响应时间从15s缩短至2s,误报率控制在 1% 以下,显著提升了火灾预知准确度与应急响应速度,为新能源汽车安全运行提供了技术保障。
【摘要】在城市交通拥堵与事故风险持续上升的背景下,智能交通系统正经历由单体智能向协同控制的战略转型。车路协同技术通过车辆与基础设施间的实时数据交换,为提升通行效率与实现碰撞预警提供核心数据支持,但其在汽车电器系统中的深度集成仍面临协议兼容性与算力瓶颈的双重制约。传统车辆电子电气架构的分布式控制模式难以满足V2X技术的毫秒级响应需求,亟需重构通信调度与数据处理机制。为此,本文围绕车载通信网关重构、异构协议栈融合、安全加密运算卸载等核心问题展开探讨,以期为高可靠车路协同系统的工程化落地提供体系化解决方案。
【摘要】当前汽车智能化升级中,传统分布式电子电气架构因算力不足、信息传输难以实时进行、安全性不达标,无法满足自动驾驶需求。当前智能汽车架构通过中央计算与区域控制融合,结合异构计算单元与安全系统形成“车载大脑”,为自动驾驶落地提供支撑。文章研究智能汽车计算平台技术要点与核心器件,明确架构设计、通信技术、功能安全与能效优化三大技术方向,剖析异构计算芯片组及关键辅助器件应用特性,为平台性能提升与产业应用提供参考。
【摘要】基于蜂窝车联网(CellularVehicle-to-Everything,C-V2X)的车辆编队协同控制通信技术,依靠直连通信接口实现车辆间实时信息交互,提升队列行驶的稳定性与效率。本文系统分析C-V2X系统架构及其在车辆编队中的应用,探讨从长期演进-车辆联网(Long Term Evolution-Vehicle to Everything,LTE-V2X)至新空口-车辆联网(New Radio-Vehicle to Everything,NR-V2X)的演进路径;研究协同控制机制的设计与性能验证,评估潜在安全威胁及防护策略。通过整合感知、定位与云控技术,提出优化方案以满足低时延、高可靠的应用需求。研究表明,该技术可降低间距误差、保证串稳定性,为智能交通提供技术支撑。本文进一步讨论通信协议优化与实际部署挑战,强调多模态融合的重要意义,以期推动车辆编队向更高智能化水平发展。
【摘要】老年用户在与汽车人机交互界面互动时面临显著的数字鸿沟。具身智能的出现为构建更符合老年用户自然认知和交互习惯的界面提供了革新思路。本研究从具身智能的理论视角出发,通过用户调研,系统分析老年用户的驾驶特征,以及其在车载场景下的核心交互需求与痛点,进而提出一套基于具身智能的汽车人机交互界面适老化设计原则,为构建包容、安全、愉悦的下一代汽车交互体验提供理论依据与实践路径。
【摘要】自动驾驶技术正深刻重塑未来出行模式,而环境感知能力是车辆决策规划的前置条件,其可靠性直接关系到行驶安全。相较于高成本的多激光雷达方案,基于摄像头的计算机视觉技术以其丰富的场景语义信息和硬件成本优势,成为大规模普及自动驾驶的关键技术。基于此,本文针对如何构建高鲁棒性、高效率、高安全性的视觉主导型感知模块展开探讨,以期为低成本、高性能自动驾驶感知方案的落地提供技术参考。
【摘要】随着自动驾驶技术的快速发展,车道线检测作为实现车辆自主导航的关键环节之一,对保证行车安全、提高驾驶舒适性具有重要意义。本文提出一套高效的自动驾驶车道线检测系统设计与实现方案。测试结果表明,该设计方案能够准确识别各种复杂条件下的车道线,如光照变化、阴影遮挡等场景,具备较高的检测精度和鲁棒性。
【摘要】目前,智能汽车热管理技术正从单一散热功能演进为提升车辆续航、性能与安全的关键系统。文章系统梳理电机电控热管理技术的发展历程,深入剖析行业新需求,从智能协同控制策略、高效复合散热技术、系统深度集成与余热回收利用三大维度详细阐述核心技术的进展,并通过对比特斯拉、比亚迪等主流厂商的技术方案验证其有效性。研究总结出该领域“集成化、高效化、智能化、精细化”四大发展趋势,并对依托相变材料研发、仿生散热设计与AI算法应用等领域的前沿技术发展趋势进行系统性展望与分析。
【摘要】随着法规的强制实施,汽车信息安全管理体系CSMS已成为车企应对网络安全威胁的核心工具。本文系统梳理CSMS的理论框架与实施路径,通过案例研究揭示当前车企在组织协同、流程整合等方面存在的典型问题,提出针对性的“五位一体”实施框架。研究显示,CSMS的成功实施依赖于制度设计、技术赋能与组织变革的协同演进。最后,从技术融合与全球化治理维度提出未来研究方向,为车企信息安全体系建设提供理论支持与实践参考。
【摘要】本文系统综述当前新能源汽车制造领域的技术进展,主要从智能制造技术、核心部件制造工艺以及轻量化材料应用三个维度展开分析。文章详细探讨数字孪生技术在生产线全生命周期的应用、电池、电机、电控三大核心系统的制造创新,以及铝合金与先进连接工艺在轻量化制造中的实践。最后,对智能制造深度融合、核心材料工艺突破及绿色制造等未来发展趋势进行展望,以期为行业技术发展提供参考。
【摘要】随着汽车产业向电动化、智能化方向发展,汽车天幕玻璃渗透率不断提升,车辆防晒玻璃技术已从简单遮阳功能发展为融合材料科学、光学技术和智能控制的综合性解决方案。当前,防晒玻璃技术正沿着“隔热天幕-调光天幕-显示级天幕”的路径迭代升级。本文系统综述车辆防晒玻璃技术的发展现状、关键技术突破与未来趋势,重点分析镀膜隔热技术、调光玻璃技术及显示交互技术等主流技术路径的特点、应用场景与发展阶段。
【摘要】ChaoJi和 2015+ 是中国自主研发的两套新能源汽车大功率充电标准,二者虽解决了大功率充电技术难题,但也使行业面临“二选一”的困境。为推动市场应用,文章先简要分析两套标准的研发背景、发展历程与体系构成,再深入研究关键技术特征的异同并得出结论,最后为产业链企业及顶层规划部门分别提出标准选用与优化建议。
【摘要】在“双碳”目标与新质生产力发展的双重驱动下,氢能在移动场景的应用日益重要。然而,振动、温湿度变化等复杂工况对燃料电池系统的安全性和可靠性构成严峻挑战。本文系统梳理国内外安全标准体系,指出其在移动专项测试、多物理场耦合验证及微型系统风险评估等方面存在的不足。本文通过分析振动、堆码、环境应力等关键测试方法,提出应构建以真实运行数据为驱动、融合物联网与人工智能的智能化标准演进机制,以此提升实验室测试对实际工况的表征能力,增强标准的适用性与前瞻性,为燃料电池在移动领域的规模化应用提供标准化支撑。
【摘要】本文介绍一种从汽车线束CATIA模型数据中提取线束长度的方法,涵盖数据模型的要求以及使用VBA提取线束长度的具体流程。该方法基于CATIA自带VBA工具开发,易于实现,能够有效提高线束设计和开发效率。
【摘要】针对偏头港口牵引车车速低、载重大的使用特点,为解决其氢燃料车型动力链设计难题,本文首先确定混合功率式氢燃料电池技术方案,再围绕最高车速、最大爬坡度等核心需求,完成电机、氢燃料电池及动力电池的选型与匹配计算。为验证匹配合理性,本文通过采集港口实际工况数据构建专用路谱,借助 AVLCRUISE软件搭建整车仿真模型,开展经济性与动力性仿真分析,为氢燃料偏头港口牵引车的动力匹配设计提供可靠参考。
【摘要】文章针对汽车组合仪表内存管理问题,提出一种优化设计方案。通过构建DDR(Double DataRate Synchronous Dynamic RandomAccess Memory,双倍数据速率同步动态随机存取存储器)内存占用实时监控机制,结合动态存储策略优化,当DDR运行内存占用率超过预设阈值K时,系统自动触发内存碎片整理程序,并智能释放冗余内存资源。该方案可有效维持GPU(Graphics Processing Unit,图形处理器)的负载均衡,确保在多图形界面快速切换过程中,图形数据的存储与调用高效稳定,从而保障仪表显示的流畅性与准确性。实际应用表明,该设计可成功解决因内存碎片累积引发的内存分配失效、图形渲染异常等行业难题。
【摘要】随着汽车电子化、智能化发展,电子电气架构向计算中央化、数据和能源区域化演进,车载计算平台的集中化使相关需求指数级提升。智能中央计算平台作为汽车电子架构核心,其刷写技术对提升汽车性能、优化用户体验意义重大。本文探讨该平台软件刷写总体方案,深入研究基于互联网的诊断协议(Diagnosticsover Intemet Protocol,DoIP)升级、空中下载技术主控制器、智能部件刷写等关键技术。结果表明,其具备高性能处理、低延迟跨核通信等优势,能有效提升汽车模块更新效率,可为汽车智能化发展提供技术支撑。
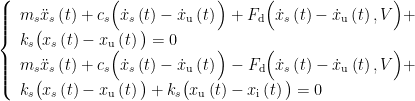
【摘要】针对某混动车型高压油箱在制动工况下产生的油液晃动噪声问题,文章提出一种多传感器监测与防浪板结构协同优化方案。通过搭建专用台架测试系统,系统量化不同油位高度、制动减速度工况下的噪声特性。基于测试结果对防浪板结构进行优化设计,并结合麦克风阵列采集的声学数据,运用基于加权平均的时空融合算法开展降噪效果评估。试验验证表明,该优化方案降噪效果显著,在中等制动工况下最大降噪量达11.7dB(A),尤其在高油位( 70%~90% )区间降噪效果更为突出,可有效提升整车性能,为解决同类工程问题提供可落地的技术解决方案。
【摘要】随着各种先进技术的运用,汽车电动化、智能化、网联化、共享化成为了各个整车厂的研发方向。基于各种场景的功能越来越多,节能要求越来越高,这对电子控制器ECU数量及功耗也提出了挑战。如何利用电气架构的手段在有限的ECU中实现如此繁多的功能场景,减少一些简单而重复的信号传递以及相应的逻辑设计,成为系统架构工程师需要重点考虑的问题。本文以整车不同功能配置判断逻辑设计在主从节点ECU间的传递为研究对象,通过在主节点中使用一组特殊的信号集中进行逻辑判断配置信息并传递给从节点,从而达到降低网络负载、减少重复逻辑判断的目的。
【摘要】随着汽车电气化、智能化水平提升,电子电气架构向集中式演进,通信网络复杂度与模块功能耦合度显著提升,售后维修面临配置差异化识别混乱、诊断入口模糊、协议兼容性不足等难题,严重影响维修效率与准确性。为此,本文设计一套整车模块自动扫描识别系统,该系统基于通用诊断仪搭建诊断模块,通过向CAN总线发送诊断请求,获取在线模块应答信息并建立通信模块列表。同时,结合车辆VIN码查询的 SAP配置信息,解析模块零件号、软件版本号等特定标识符,实现对同ID模块硬件版本与功能配置的精细化区分。实际应用表明,该系统将模块识别耗时压缩至20s内,误判率降至 3% 以下,大幅提升了售后维修的效率、准确性与用户体验,为智能汽车高效售后服务提供关键技术支撑,推动汽车售后市场数字化转型。
【摘要】在汽车产业向智能化、电动化转型的过程中,缩短整车开发周期已成为车企提升市场竞争力的核心诉求。传统开发模式依赖物理样车测试,存在周期长、成本高、迭代效率低等痛点。虚拟仿真技术通过构建数字孪生模型,实现从设计验证到生产优化的全流程数字化覆盖,成为破解开发周期瓶颈的关键技术。本文系统梳理虚拟仿真技术在整车开发各阶段的应用场景,结合奔驰VISIONEQXX、大众ID.2等典型案例,揭示其通过并行测试、多学科协同优化等机制缩短开发周期的内在逻辑,并探讨技术融合趋势与未来发展方向。
【摘要】针对轻卡底盘传统液压助力系统在复杂工况下普遍存在的响应迟缓、控制精度不足及安全隐患等关键问题,本文提出基于比例-积分-微分与自适应神经网络深度融合的混合控制策略,有效实现系统智能化升级。本文构建集液压回路、电子控制单元、多维度传感器模块与多重安全冗余设计于一体的完整整体架构,通过高精度数据采集、多步骤预处理与实时动态校正,全面实现精准调控。试验结果表明,新型控制算法不仅大幅缩短系统响应时间,还能明显降低液压回路压力波动,显著提升系统运行稳定性与整车行驶安全性。该研究为工程车辆智能控制技术领域提供了坚实的理论依据和丰富的实践参考,对推动轻卡底盘系统智能化升级进程具有广阔的工程应用前景。
【摘要】汽车A面作为车身外表面核心载体,其设计需兼顾空气动力学性能与视觉美学以适配用户需求升级,而传统“形式追随功能”理念已难以满足现代汽车工业发展要求。文章指出,通过优化流线型轮廓、集成主动空气动力学套件、应用计算流体动力学等数字化仿真技术,可在降低风阻系数的同时,赋予A面造型艺术感与品牌辨识度,实现功能与形式的共生。研究围绕汽车A面设计中空气动力学与视觉美学的协同优化路径展开,明确技术创新(如参数化建模、智能气动部件)、材料结构突破(如碳纤维应用)对协同优化的支撑作用,为提升汽车产品竞争力提供理论与实践参考。
【摘要】本文对重载车辆全轮电控液压转向系统展开分析,通过文献查阅、理论分析等方法,阐述该系统的应用原理与具体结构。研究主要围绕转向系统方案设计、系统选型设计与参数计算、控制系统建设三大模块进行综合探索。研究表明,全轮电控液压转向系统的设计与灵活应用,能为重载车辆转向提供良好辅助,在降低驾驶员操作压力的同时,实现安全、快速转向。
【摘要】随着智能座舱与沉浸式驾乘体验需求的升级,车载音频系统面临多源噪声干扰、空间声场受限及个性化音效定制等核心挑战。多声道音频处理技术作为提升声学品质的关键载体,其性能优化高度依赖于高效功率放大技术的支撑。当前行业亟需突破传统车载音响在动态响应、通道均衡与三维声场重构等方面的技术瓶颈。因此,本文就AMP技术在多声道分配策略、空间化渲染算法及场景化应用实践中的创新机制展开系统性探讨,以期为高保真车载声学系统的研发提供理论参照与技术实现路径。
【摘要】本文旨在讨论基于面向服务架构(Service-Oriented Architecture,SOA)的车载应用层软件开发流程。SOA是一种软件设计和开发的方法论,通过将应用程序分解为可重用的服务,实现了松耦合和可扩展性。本文介绍SOA架构的应用程序接口(Application Programming Interface,API)设计及其分层模型,并以小憩场景模式为例,阐述基于SOA架构的车载应用层软件的开发流程及关键步骤,助力读者更好地理解SOA架构并在实践中运用。
【摘要】为解决电动汽车动力电池系统检测的安全问题,文章基于单片机、数字/模拟电路及汽车电气技术,以STC89C52RC单片机为核心,利用CAN接口实现通信,设计一种便携式检测装置。该装置通过自研硬件电路模拟电池数据,实现对电动汽车动力电池系统控制逻辑展示,同时具备稳定可靠、可重复、扩展性强及模块化等优势,对电池检测有一定的指导意义。
【摘要】针对变频器在负载突变时同步精度不足的问题,本文提出基于PLC的分布式多变频器同步调速控制方法。根据分布式变频器的基本结构,利用负载功率确定各变频器的控制频率,结合负载增量函数计算各变频器的负载转矩分配值。试验结果表明,采用该方法进行多变频器同步调速控制时,电机实际转速与目标转速的偏差为0,同步精度达 ±0.lr/min ( 1500r/min 工况),说明该方法的控制精度较高。
【摘要】汽车动力总成是整车性能的关键系统,它的效率与动力性、经济性以及排放水平紧密相关。传统传动存在能量损耗、换挡不顺畅等问题。近年来,齿轮、带传动、链传动以及液力传动在材料、工艺和结构上的不断创新,为动力总成优化提供了新思路。本文分析汽车动力总成传动系统的应用原理,通过仿真和实车验证,发现先进机械传动技术可使油耗降低 5%~10% ,排放减少约 10% ,对绿色发展意义重大。
【摘要】基于电机的助力技术正在重构汽车转向系统的效能边界。相较于液压传动结构,电动助力转向通过电子控制直接驱动转向机构,在整车能量管理层面具备显著优势,其精准的扭矩调控特性更使其成为高级驾驶辅助系统的关键执行载体。当前智能驾驶的发展进程,对转向线性度容差、故障反应鲁棒性等提出了更为严苛的基准要求,核心零部件的功能安全设计直接影响行车安全本身。为此,本文围绕EPS技术中的控制策略优化、机电能量传递损耗抑制、多重失效防护机制等核心命题展开系统研究,以期为高可靠转向系统的工程实践提供技术支撑。
【摘要】随着近些年来汽车技术的发展,家用汽车逐渐普及。在国内家用汽车市场中,自动挡汽车占据主导地位。由于自动挡汽车的换挡决策由车载控制系统决定,高效的换挡控制策略对自动挡汽车的燃油消耗、加速性能等方面具有重要作用。本文利用模糊控制方法,设计基于模糊控制的汽车换挡策略,并在矩阵试验室MATLAB中进行仿真。仿真结果表明,该换挡规律可使车辆获得更优的动力性和经济性。
【摘要】基于汽车传动系统齿轮在高负荷工况下的耐磨性能需求,本文分析齿轮用钢的材料特性与热处理工艺的适配关系。探讨渗碳淬火、氮化及感应淬火等关键工艺的技术原理,揭示热处理通过调控表层马氏体形态、残余奥氏体含量、碳氮化合物分布及残余应力场,进而影响齿轮抗点蚀、抗磨粒磨损能力的作用机制。通过某变速器齿轮的工程案例,阐述从粗放式强化向精细化组织控制的工艺优化路径,论证通过协同调控渗碳温度、碳势、冷却速率等参数,可实现微观组织优化与耐磨性能的协同提升,为齿轮的精准设计与制造提供参考。
【摘要】汽车制动盘在紧急制动过程中承受极端摩擦热载荷,其瞬时产生的高温是诱发制动效能热衰退、盘体热应力损伤乃至失效的主要原因,直接危及行车安全。精准预测该瞬态热行为对于制动系统设计与热管理至关重要。然而,快速非线性温升过程涉及复杂的几何结构、时变热边界条件及材料属性依赖关系,建立高效可靠的预测模型存在显著挑战。因此,本文围绕建立面向工程应用的汽车制动盘紧急制动工况下的非稳态热传导数学模型展开系统探讨,以期为制动盘热负荷评估、温度场预测及抗热衰退设计优化提供关键的理论依据和计算基础。
【摘要】随着电动汽车对车身装配精度要求的提升,针对白车身前门总成多工位装配中的尺寸偏差问题,本文构建考虑具有零件柔性特性的偏差分析模型,结合正交试验(Design of Experiments,DOE)与3DCS的仿真技术,优化夹具定位策略。通过解析零件变形、夹具定位误差及焊接工艺的耦合影响,建立多工位偏差传递矩阵与关键特征点映射关系,识别出铰链定位精度、外板夹紧力等关键影响因素。仿真与试验结果表明,优化后车门间隙、段差等关键尺寸的单项合格率平均从 81% 提升至 96% ,装配一次通过率从 75% 提升至 91% ,装配一次通过率显著提高,有效降低了制造成本。研究成果为电动车门高精度装配提供了理论支撑与工程解决方案,未来可以进一步结合智能化技术深化实时偏差控制研究。
【摘要】汽车工业发展中,常规工程塑料面临高温变形、绝缘失效、热膨胀失配等瓶颈,尤其在新能源车极端工况下,材料缺陷极易引发安全隐患。高温尼龙拥有优越的耐热性能,同时在电气防护、尺寸精度方面也具有显著优势,逐渐成为汽车核心部件的首选材料。本文深入剖析高温尼龙在动力电池防护、电控单元支撑、车载传感器固定等场景的表现:在动力电池领域,其可通过玻纤增强改性制成电池包上盖、侧板,实现耐高温、抗冲击与电气防护;在电控单元领域,其可作为壳体材料,保障信号传输稳定性;在车载传感器领域,其低翘曲特性可确保传感器固定精度。同时,结合不同应用场景的工艺需求,分析高温尼龙的改性方向与成型工艺优化路径,旨在为新能源汽车核心部件的选材、工艺标准提供一些参考。
【摘要】新能源汽车动力电池托盘是保障电池安全的核心组件,其焊接品质直接决定整车安全性能。当前铝合金托盘在焊接过程中存在热变形、气孔、裂纹等缺陷风险,传统焊接方法难以满足高精度、高强度的制造要求。针对动力电池托盘多材料复合结构和复杂三维形状的设计趋势,本文以激光-电弧复合焊技术为核心,重点研究焊接热源能量分布特性、参数匹配关系及机器人运动轨迹优化策略;结合在线熔池监测与智能识别技术,系统分析工艺参数对焊缝成形品质与组织性能的作用机制,构建焊接过程的实时调控与品质预测模型。本文旨在为新能源汽车动力电池托盘的高效、稳定、智能化制造提供理论支撑与技术路径,推动装备制造业的数字化与高质量发展。
【摘要】汽车轻量化与安全性能的并行提升,使得前防撞梁结构的制造技术不断向高精度与高能量密度方向发展。激光拼焊技术以其低热输入、高接头强度及优良的成形适应性,被广泛应用于防撞梁板材的差厚拼接中。本文围绕前防撞梁激光拼焊工艺展开系统研究,基于现有平直对接激光拼焊板TWB连线与异形轨迹TWB机器人拼焊两类主流工艺,分析其在拼缝控制、热输入协调、焊缝结构与生产线防护等环节存在的现实问题。在此基础上,本文提出针对性的优化路径。
【摘要】汽车发动机曲轴在周期性强动载荷下易发生疲劳断裂,严重威胁行车安全。金属热处理工艺是调控材料微观结构与机械性能的有效手段,其优化潜力在曲轴制造领域尚未得到系统性开发。本文以典型42CrMo4钢曲轴为研究对象,开展多参数耦合试验与疲劳台架测试,量化分析优化工艺对曲轴疲劳极限与服役寿命的提升效果,旨在为高可靠性曲轴制造提供方法论参考,推动国产汽车动力系统核心部件性能突破。
【摘要】针对汽车涂装生产中频繁颜色切换导致的清洗成本高、生产效率低等问题,本文提出一种基于深度强化学习的智能调度方法。本文通过构建融合实时生产状态感知、动态决策与工业控制指令下发的闭环系统,设计以近端策略优化(ProximalPolicyOptimization,PPO)为核心的调度算法,并集成罗克韦尔FactoryTalk工业软件与PLC实现端到端优化。试验表明,该方法可以使存储区溢出率降低至 4.3% ,调度指令生成延迟稳定在( 256±32 )ms。实际部署验证了其在提升生产柔性、降低运营成本方面的工程价值,可以为智能制造提供可复用的技术路径。
【摘要】在智能制造时代背景下,汽车制造企业的数字化转型已成为推动行业高质量发展的关键举措。本文以价值链理论为分析视角,探讨数字化转型如何通过优化企业内部与外部价值链环节实现绩效提升。本文通过文献研究与案例分析,构建“智能制造-数字化转型-价值链优化-绩效提升”的作用机制框架。研究表明,数字化技术的深度应用能显著促进研发协同、生产智能化、供应链协同与服务增值,进而实现企业绩效的系统提升。最后,本文提出智能制造背景下汽车制造企业数字化转型的实施路径与管理建议,为行业数字化升级提供参考。
【摘要】针对新能源汽车空调系统因压缩机故障、制冷剂循环异常及控制策略失效而导致的能效下降问题,本文结合热力学特性与电控系统原理,提出核心维修技术方案。R1234yf制冷剂系统密封性检测与精准充注技术采用三级检漏法与称重-压力双闭环充注,以解决环保制冷剂维修后泄漏率高、能效波动问题。ECU与BMS 协同校准技术通过控制参数优化与CAN总线通信修复,使压缩机运行工况适配率提升至 98% 。经试验验证,应用该维修技术后,新能源汽车空调系统能耗降低 15%-20% ,续航里程在空调开启工况下提升 8%-12% 为新能源汽车空调维修提供具备工程可行性的技术路径。
【摘要】电动叉车门锁锁片的磨损可能导致操作困难、安全性下降及使用寿命缩短。常见原因包括操作不当、材质问题和维护不足。为预防磨损,操作员需采取以下措施:接受专业培训,选择适宜的工作环境及品质优良的材质,并定期检查和更换锁片。通过这些措施,可有效延缓电动叉车门锁锁片的磨损,延长叉车的使用寿命并提升运行的安全性。
【摘要】随着汽车电子化与智能化程度的提升,传统故障诊断方法已难以满足复杂系统的检测需求。智能诊断技术通过融合传感器网络、机器学习算法及车联网技术,实现了对汽车故障的实时监测、早期预警、精准定位与预测性维护。本文系统分析了智能诊断技术的核心架构、关键算法及典型应用场景,并针对数据安全、算法可靠性等挑战提出优化策略,为汽车维修行业的智能化转型提供实践参考。
【摘要】随着中国新能源汽车保有量快速提升,电池管理系统承担着对动力电池组的监测、保护、均衡与状态估计等关键职能,其运行可靠性直接关系到整车安全与用户体验。针对售后服务中常见的续航忽降、充电中断、功率受限、仪表告警频发等现象,本文在工程实践基础上梳理电池管理系统架构与关键算法,归纳电压不一致、过压/欠压、过温、过流、绝缘与通信等高发故障的机理与判据,提出面向一线维修场景的分层诊断流程与校准要点,并配套图表与公式,为维修人员提供可落地的技术参考。
【摘要】本文系统阐述空调控制单元、电磁离合器、伺服电机等核心部件的电路结构,提出基于故障码分析、信号波形检测及模块化排查的诊断流程,为汽车空调电气控制电路故障诊断与维修提供实践参考。
【摘要】全球汽车产业深度变革背景下,企业通过并购重组(M&A,Mergersand Acquisitions)整合技术资源与市场渠道的实践显著增多,高溢价并购行为积累的巨额商誉已成为影响行业财务稳健性的关键变量。新能源汽车技术选代加速与产业链格局重构,进一步放大了并购标的估值偏离风险;而宏观经济周期波动与政策调整的共振效应,使商誉减值风险的传导链条趋于复杂化。因此,本文围绕并购交易过程中商誉减值风险的形成根源与防控机制薄弱环节展开系统性解构,重点剖析战略协同失效、目标企业整合障碍、现金流评估失真三大关键风险传导节点在汽车产业应用场景中的特殊表现形式,以期为构建贯穿并购匹配度评估、整合过程预警、系统减值后危机缓冲全链条的科学防护框架提供理论依据与实践参照。
【摘要】当下数字经济发展迅猛,逐渐成为全球经济发展的主要推动力量,依靠信息处理能力强、商业模式新和渗透力强等优势影响了各种传统产业的发展。汽车产业属于国民经济的支柱产业,它具有很大的产业规模和很强的社会影响力。基于此,本文首先分析汽车产业与数字经济融合的必要性,其次阐述汽车产业与数字经济融合的路径,最后提出几条汽车产业与数字经济融合的策略,以供参考。
【摘要】随着中国新能源汽车产业进入市场驱动新阶段,一二线城市市场逐渐饱和,三四线城市成为车企开拓增量的核心战场。研究发现,三四线城市新能源汽车消费在产品供给、基础设施、消费者认知等方面存在诸多痛点。如何依据现代社会营销策略推动新能源汽车销售、开拓下沉市场,成为众多企业需重点考量的问题。本文系统解析三四线城市新能源汽车消费环境的结构性特征与痛点成因,构建基础设施协同-产品精准开发一价值认知激活-服务生态升级-渠道场景嵌入的全链条营销适配体系。
【摘要】本研究聚焦2025年生成式AI与智能网联汽车深度融合背景下的网络安全人才培养需求,构建“需求分析-能力建模-路径设计-效果评估”四维培养框架。通过德尔菲法、层次分析法及实证研究,提出包含7个一级指标、23个二级指标的能力模型,设计基础理论-技术实践-伦理治理三级课程体系,并开发基于生成对抗网络(Generative AdversarialNetwork,GAN)的智能攻防模拟平台。实证研究表明,新培养路径可使学员在AI辅助下的威胁识别速度提升 40% ,误报率降低 25% ,在车路云协同场景中的攻防对抗能力提升 16% 。本研究创新提出双导师制 + 项目孵化实践教学模式,为缓解智能网联汽车网络安全人才缺口提供理论支撑与实践参考,对提升中国智能汽车网络安全防护能力具有重要意义。
【摘要】产教融合已成为新能源汽车产业人才培养的核心路径。劳动素养评价作为品质“指挥棒”,其科学性直接决定人才培养的精准度。当前该领域评价存在指标滞后、量化不足、协同机制缺失等问题。本文通过文献研究、产业调研、德尔菲法构建产教融合劳动素养评价指标体系,运用层次分析法确定权重并开展实证检验。结果显示,该体系信度和效度良好,可为产教融合劳动素养评价提供标准化工具,推动人才培养与产业需求动态适配。
【摘要】本研究以《汽车运用工程》课程为例,探索基于工农融合的创新创业导向型工科专业课程教学改革路径。通过将农业应用场景融入实验教学内容,构建“专业教育 + 农业实践 + 创新创业”三位一体的教学模式。采用项目驱动、校企协同等教学方法,培养学生的工程实践能力与创新思维。实践表明,改革显著提升了学生解决农业农村实际问题的能力,学生设计方案在创新竞赛和产业应用中取得显著成效。该研究为工科专业服务乡村振兴提供了可借鉴的改革经验,对培养复合型工程人才具有重要价值。