摘要:自由基清除能够保证生物体健康,为了系统评价对自由基的清除效率,本文提出了一种基于紫外-可见分光光度计(Ultraviolet-Visible Spectrophotometer,UVS)光谱法检测二硫化钼( MoS2 )纳米微球对自由基清除效率的分析方法。采用水热合成法合成一种新型 MoS2 纳米微球,为了验证其对不同自由基的清除效果,分别采用3种不同的自由基溶液:ABTS(2, 2′- 联氮基-双(3-乙基苯并噻唑啉 -6- 磺酸)DPPH(2, 2- 二苯基 -1- 苦酰基胖)和PTIO(2-苯基 -4 ,4,5, 5- 四甲基咪唑啉 -1- 羟基3-氧化物),对其特征吸收区域( 734nm / 519nm 和 ?320nm )进行定量分析。采用稀释方法配置 10μg/mL 、 50μg/mL 、 100μg/mL 、 150μg/mL 和 200μg/mL ,共5个浓度梯度的 MoS标准溶液,并对其重复性进行考察。结果表明, MoS2 对不同自由基溶液的清除率均较高,并且在 10.0μg/ mL~200.0μg/mL 清除率呈线性关系, R2 为0.99916;各浓度重复性均 <1%c 2
摘要:在目标检测应用中,取得精度与效率之间的平衡是一项重要的研究课题。为了在电力场景下利用边缘设备检测输电线路中的异常目标,本文提出了一种方法,能够减少网络中浮点量化时的数据位宽。通过执行指数预对齐和尾数移位操作,该方法避免了标准浮点数据频繁的对齐操作,进一步减少了在训练输入过程中的指数和尾数位宽。采用本文方法进行训练,能够保持精度,并得到硬件资源消耗低的低数据位宽模型。
摘要:航空电子装备环境适应性影响其可靠性与使用寿命,传统测试系统在复杂环境中存在自动化与智能化不足的问题。本文引入人工智能技术,设计环境试验自动化测试系统。系统利用智能感知模块实时获取环境参数与装备状态,采用机器学习、深度学习算法实现测试流程的自主决策与动态优化,通过多源数据融合提升性能评估精度,并运用自动化执行模块完成闭环控制。系统设计遵循先进性与可靠性原则,在智能算法应用等关键技术方面取得突破。试验结果表明,采用本文设计的系统,提升了测试效率与数据准确性,为航空电子装备极端环境性能评估提供高效的解决方案,推动测试技术向智能化、自动化发展。
摘要:本文研究滚动轴承故障特征提取与复杂度度量问题。针对滚动轴承故障振动信号具有非平稳、非线性且含噪的特点,传统方法处理存在缺陷的情况,本文采用总体平均经验模态分解(Ensemble Empirical ModeDecomposition,EEMD)和样本熵方法。采用EEMD将信号分解为固有模态函数(Intrinsic Mode Functions,IMF),该方法能抑制模态混叠和端点效应,再利用样本熵度量各分量复杂度。结果显示,该方法能精准提取故障特征信息,对比正常与故障状态下振动信号的样本熵值,结合特征频率进行分析,可以有效判断故障以及类型。该方法为滚动轴承故障诊断提供了技术支持,提高了设备运行的可靠性与稳定性,在工业领域的应用前景广阔。
摘要:电力系统对快速响应与高精度控制的需求日益增多,边缘计算技术为构建低延迟和高可靠性的协同控制机制提供了技术支持。本文研究边缘计算环境中电力需求响应系统的结构构建与控制架构部署,分析了本地预测机制、多节点调度策略与动态响应控制的收敛特性,检验了协同控制算法在典型工业园区负荷场景中的实证效果与部署性能。研究结果表明,本文方法能够保证控制精度并缩短响应时延,在大规模负载管理中具备工程可行性,并且具有推广价值。
摘要:工业数字化转型的核心是数据采集、处理、分析与应用,现代工业企业在生产过程中产生了海量的数据,这些数据通常分散在不同的环节中,缺乏有效的整合与利用。因此,本文提出AI与大数据驱动的工业企业数字化转型平台数据分析技术。采用AI算法与大数据技术构建数据分析平台,对工业生产数据进行智能挖掘与利用。分析工业大数据,挖掘隐藏的价值信息,进行生产过程的精细化管理和资源的高效配置。本文研究提高了工业企业的竞争力,推动企业生产优化和运营智能化,进一步推动其数字化转型和可持续发展。
摘要:基于机器学习的负荷预测优化模型在新能源电力系统中的应用价值重大,针对新能源发电的波动性和不确定性问题,本文构建一个长短期记忆网络(LSTM)与卷积神经网络(CNN)联合的混合模型,采用深度特征提取与时空融合方式,精准判定负荷变化规律。采用多源数据群组,包含历史负荷、电网运行相关参数和气象资讯,开展针对模型的训练和验证,有效提高了预测精度以及计算效率。试验结果说明,模型能在复杂工况下维持较高的稳定性,推动新能源电力系统调度优化水平提升,具有较强的实用意义和推广前景。
摘要:电站锅炉小径薄壁管的焊缝检测对无损检测技术提出了高分辨率和高稳定性的双重要求。本文围绕冷阴极X射线在该领域的应用展开研究,聚焦其基于场发射机制的发射特性和图像生成过程。采用理论建模和试验匹配方法,系统分析了X射线发射参数和探测器特性对缺陷识别率的影响,设计优化了小焦点X射线源和高分辨率图像传感系统,并结合图像滤波等多种增强算法构建缺陷识别流程。实测数据显示,在管径为 20mm 、壁厚为2mm 的焊缝检测中,缺陷识别率高,系统功耗低。研究结果为冷阴极X射线在小径薄壁管焊缝精准检测中的工程应用提供了技术参考。
摘要:本文聚焦于SegNet模型在遥感影像建筑物提取中的应用。针对传统方法特征融合时信息易丢失问题,在 SegNet基础上加入跳跃连接和多尺度特征融合模块。试验采用WHU Building数据集,并与U-Net、FCN等模型进行对比。结果显示,改进后SegNet的准确率、召回率以及平均交并比等显著提高,其准确率达到 95% ,召回率接近 90% 。本文提高了建筑物提取的精准度和效率,为城市规划、灾害评估等多行业提供技术支持,推动了遥感影像建筑物提取技术的发展,具有重要实用价值和社会意义。
摘要:高压输电线路导线散股现象会影响电力系统的稳定性和安全性,传统检测方法效率较低且存在局限性。本文旨在利用 SLAM算法,结合视觉信息和传感器数据,实现高精度的输电线路导线散股检测。SLAM算法框架结合视觉信息、激光雷达以及IMU等传感器数据进行精确定位,并通过三维建模对导线散股状态进行检测。在此基础上,通过SLAM生成高压线路的三维模型,结合图像处理和深度学习技术对散股状态进行识别,从而实现自动化、精准的导线散股检测。研究结果表明,基于SLAM的导线散股检测技术能有效提高检测精度和实时性,相较传统方法具有明显优势,为提高高压输电线路故障检测效率提供了新思路。
摘要:随着经济全球化到来,各国对能源的需求越来越大,传统能源面临枯竭的问题,亟需开发新能源。分布式光伏发电作为获取电能的一种方式,目前已被广泛应用,但是光伏发电系统产生的电流、电压不稳定困境一直存在。为了解决上述问题,本文对储能方式进行优化,采用混合储能方式的光伏发电系统,以此来解决输出电流、电压不稳定的情况。结果表明,该系统可有效解决电流、电压不稳定情况,对维持发电系统的稳定具有现实意义。
摘要:随着城市化进程加速,传统交通信号控制难以应对日益增长的交通需求。本文基于西门子S7-300系列PLC开发了智能交通信号控制系统,通过设计专业化硬件配置和功能模块体系,实现精准控制信号的功能。系统创新性地整合Webster最小延误算法和模糊控制策略,构建多场景交通控制架构和区域协调控制机制。实路测试验证系统运行可靠性达 99.99% ,显著改善交通状况:路口平均通行时间缩短 35% ,事故发生率下降 25% 。这一智能控制系统为城市交通信号控制系统智能化升级提供了可行的技术方案和实践经验,对推动智能交通发展具有重要意义。
摘要:为了提高房产测绘的精度,本文基于低空无人机倾斜摄影技术,以某不动产为例,研究登记房产测绘方法。根据测绘需求,设计无人机航高、垂直和水平方向分辨率,优化摄影测量参数;采用预先设计的测量参数进行航拍作业并进行空三测量;对POS数据与每张图像的对应性进行验证,对内业处理进行综合处理,完成房产测绘方法的设计。实践结果表明,设计的方法可以实现对房产的精准测绘,将 X, Z方向的测绘误差控制在±6cm、±4cm、 ±10cm 。
摘要:配电自动化运维中存在故障定位效率低、数据处理滞后以及设备状态监测不精准等问题。本文基于一线运维经验,分析了传统运维技术现状和关键问题,提出边缘计算数据处理技术、故障定位算法改进与优化、设备状态智能评估三项关键技术创新。通过工程案例验证,边缘计算技术将数据处理延迟降低 65% ,改进故障定位算法使定位时间从 38min 缩至 12min ,智能评估技术设备状态预测准确率达 93.8% 。技术综合应用后系统可用率升至99.6% ,故障处理效率提高 58% ,运维成本降低 35% ,显著提高了配电自动化运维技术水平。
摘要:传统的故障诊断方法依赖信息采集技术和人工经验,但是这些方法在复杂情况下准确率较低、稳定性差且存在较大误差。为了提高故障诊断的准确性和实时性,本文提出了一种基于大数据分析的电化学储能系统故障诊断方法。通过深度分析电化学储能系统运行数据,结合大数据技术,建立故障诊断模型,能够有效地识别系统故障并提供实时预警。试验结果表明,本文方法在故障诊断准确率、稳定性和误差控制方面显著优于传统的信息采集和人工经验技术,诊断准确率始终保持在 98% 以上,具有较强的应用前景和实用价值。
摘要:针对现有液压支架控制系统存在数据传输协议不统一、抗干扰能力弱以及零点漂移的问题,本文提出了一种基于双CAN总线 + 以太网的全数字液压支架控制系统。该系统构建双通道架构,通过双CAN总线冗余通信实现控制器与控制器、控制器与传感器之间的互联互通,以太网通信方式实现了控制器与井下服务器、井下服务器与地面控制室之间的数据传输。煤矿井下工业试验中平均通信无故障时间超过5000h,具有安全、可靠、低时延以及标准化程度高的特点,为全数字智慧煤矿一体化建设提供了解决方案。
摘要:本文针对智能变电站二次检修过程中的防误需求和技术进行了深入分析,探讨了检修流程、监测预警、执行校验及智能化功能等关键环节,通过建立自动化、闭环的防误系统,实现对设备检修时安全隔离和安措执行的全程监控和校核。以某 500kV 变电站为例,对断路器、合并单元和智能终端等关键设备及其虚回路进行预防性分析,提出了基于GOOSE和SV软压板判据机制的防误闭锁方案,有效降低因设备隔离措施不当而引发的安全事故风险。
摘要:在实际电力系统中,输电线路可能同时出现多个故障点,难以准确识别这些故障点的位置,导致多点故障测距结果不准确,从而影响故障排除的效率。因此,本文引入Prony 算法对输电线路故障测距方法进行改进。采集输电线路信号,利用Prony算法对暂态信号进行分析,并结合奇异值分解(SVD)技术提取模态参数,得到故障测距结果,并对测距结果进行校正和优化。试验结果表明,该方法在故障测距精度和抗干扰性能方面具有显著优势,能够为输电线路故障的快速、准确定位提供可靠的技术支持。
摘要:为了满足智慧园区日益增长的网络服务需求,本文构建了一种无源全光网络框架,设计了网络运行优化算法。全光网络以OLT为核心汇聚节点部署在机房,末端业务通过多类型ONU灵活接入,其无源特性消除了有源设备带来的供电和散热需求。运行优化算法执行两步选路,优先为链路代价最小的路径分配波长,并动态更新网络路径集合,确保网络资源的高效利用和传输性能的最优化。试验结果显示,本文所提的方法在波长利用率、阻塞率、等待时延3个指标上都具有明显优势,可以满足智慧园区的通信需求。
摘要:本研究基于机器学习算法构建了 SF6 气液相变计算模型,并对模型参数进行了优化。首先,介绍了机器学习的基本原理及其在参数优化中的应用,重点讨论了支持向量机、随机森林和梯度提升树等算法在模型构建中的作用。在模型构建流程中,确定了气液相变模型的关键参数,并对历史试验数据进行获取和预处理。通过随机森林算法,对数据进行训练和测试,评估了模型的预测性能。研究结果显示,在不同特征组合下,模型的预测准确率显著提高,尤其在综合特征的影响下,模型达到了 95% 的预测准确率。通过优化模型参数,进一步提高了模型的准确性和可靠性,为 SF6 气液相变的研究提供了有力支持。
摘要:台区线损是电能在输送过程中由电线电缆的电阻、电感和电容等因素引起的能量损耗,直接影响台区的经济性和可靠性。研究线损与其影响因素的定量关系对优化台区运行和提高能源利用效率至关重要。因此,本文提出了基于渐消记忆递推最小二乘法的台区线损诊断方案,为降低线损和提升输电效率提供理论支持。首先,本文详细分析了台区线损概况,建立了基于动态线损的台区线路参数识别模型。其次,提出了基于渐消记忆递推最小二乘算法的动态线损诊断方法。研究结果表明,线路电阻和电抗的计算误差平均约为 3% 和 4% ,最大误差分别为 7.2% 和 7.84% ,具有较好的估计精度,与理想状态下的计算结果相比存在大约 2% 的识别误差,由此可以看出,该算法具有较好的计算稳定性。
摘要:本文探索了AI大模型在短视频创作中的技术应用,基于Transformer架构构建多层级融合的视频生成框架。通过8台NVIDIA A100GPU集群进行试验验证,在50万条短视频数据集上进行训练与测试。研究表明,该技术在静态场景处理精度为 95.8% ,快速运动场景为 88.5% ,处理效率较传统方法提升3倍。试验发现,模型在高分辨率视频处理与时序一致性维护、多模态理解等方面存在优化空间。利用知识蒸馏与改进的时序注意力机制,处理速度提升 40% ,快速场景质量提升 25% ,能够为短视频创作技术发展提供新思路。
摘要:为了提升智慧城市数据处理效果,本文提出一种基于MapReduce编程计算框架和HDFS 分布式存储的智慧城市大数据处理平台。首先,对基于云计算环境下的智慧城市大数据自动处理平台架构进行详细设计。其次,根据数据处理需求,对该平台数据采集功能和数据加载机制(ETL)进行重新设计。最后,对构建的智慧城市大数据处理平台进行应用测试。结果表明,该平台能够进行数据自动采集和处理,具备较好的扩展性和灵活性、采集效率和数据质量显著提升,能够进行智慧城市海量数据自动化处理,具备有效性。
摘要:由于自动拧紧装置的机械传动部件(例如电机、减速器等)存在一定的制造误差和磨损,难以实现高精度的扭矩控制,因此,研究提出基于柔性定位机构的由壬水压试验堵头自动拧紧装置。装置整体由柔性定位机构、自动拧紧机构、控制系统3个部分组成,其核心在于采用柔性定位机构,这种机构利用各部件的弹性变形来传递运动或能量,具有免磨损和润滑、无间隙、摩擦和转化等优点。试验结果表明,柔性定位机构在由壬水压试验堵头自动拧紧装置具有较高的可行性和有效性,能够提高装置的自动化程度和拧紧效率,为后续的工程应用提供有力的技术支持。
摘要:机床导轨磨损问题严重影响机床加工精度和使用寿命,其主要表现为黏着磨损和疲劳磨损两种形式,因此,研究针对机床导轨磨损机理进行系统研究,采用光学显微镜和三维形貌仪对磨损表面进行表征分析,建立了磨损量预测模型。在此基础上,采用激光熔覆技术进行修复试验,结果表明,采用Fe-Cr-Ni-B合金粉末,当激光功率为 3.5kW 、熔覆速度为 8mm/s 时,修复层硬度达到HRC58,与基体结合强度达到 320MPa ,磨损量仅为未处理导轨的 30% ,成功实现了导轨的再制造修复。
摘要:电网的运行工况复杂,传统电网线损控制方法不能适应分布式能源接入带来的线损问题,影响电网的经济运行与供电可靠性。因此,本文深入探究基于分布式能源的电网线损优化控制技术,分析电阻损耗、变压器铜损、铁损、功率因素与线损的关系、综合线损率的变化规律,建立电网线损分析模型。同时,结合配电网负荷多目标交叉协调控制技术、根据电网实时运行状态动态调整配电网运行中的无功补偿、负荷调度响应容量,实现电网线损优化控制。在某区域电网试点中,实际应用表明,应用基于分布式能源技术,电网线损率降低 15% ,提高了电网运行效率。
摘要:本文以安徽省某市H内河水闸改造工程为例,研究既有水闸新增闸墩的沉降控制方法。通过理论分析和数值模拟,分析了钻孔灌注桩加固措施对新增闸墩沉降控制的影响。结果表明,采用钻孔灌注桩加固后,新增闸墩的施工期及运营期沉降显著减少,施工期沉降量仅为 1.54mm ,而15年运营期累计沉降量为 13.90mm ,低于设计限制 15.0mm ,且15年运营期的年均沉降速率也显著低于设计限制。该加固方案不仅解决了新增闸墩的沉降问题,还大幅降低了改造成本,缩短了施工周期,取得了良好的经济效益。
摘要:在石油钻井过程中,由于地下环境的复杂性和不可见性,钻井的变形情况难以精确预测。因此,研究提出复杂地质条件下的石油钻井变形破坏机理分析。试验采用SDJ-600型石油钻井模拟试验机,用ABAQUS软件构建有限元模型,模拟钻井扰动。设置5个关键监测断面,每个断面配置5个监测点,记录位移情况。采用随机森林和遗传算法构建变形预测模型,评价变形控制效果。结果表明,随着荷载力和钻井深度增加,井筒变形量和应力均上升。表层和泥质软岩层变形较大,而砂岩、含砾砂岩和基底硬岩层变形较小。应力随深度增加,但基底硬岩层因强度高,变形破坏风险低。
摘要:本文提出一种基于多物理场数据特征融合的损伤识别与评估方法。首先,从盾构隧道全生命周期监测数据中提取多源物理量,通过零相位带通滤波与EMD分解构建320维高维特征集,并采用PCA降维与专家盲评机制筛选出45项关键评估指标。针对不同量纲指标特性,设计线性、指数与S型函数归一化方法统一映射风险概率值,并引入熵权-AHP融合模型确定指标综合权重。在特征融合阶段,分别构建Bayes融合模型、 D-S 证据组合模型与模糊聚合模型,建立风险识别的多策略框架。仿真验证结果表明,3种融合方法均显著提高损伤判别精度,其中,模糊聚合在多级分类准确率和AUC指标上表现最优, D-S 方法在冲突管理与中等损伤识别方面具备优势。
摘要:高填方路基中的沉降问题是公路工程中需要重点研究的问题之一,控制沉降变形是高填方路基建设的核心任务。因此,本文基于数值分析软件,探究了填料性质、压实度、填筑高度及填筑速度对高填方路基沉降量的影响。研究结果表明,砂质黏土是较为理想的路基填筑材料,能够有效控制高填方路基的沉降,增加填料含石量和压实度均能显著减少路基的沉降变形量。在高填方路基修筑过程中,总沉降量的主要来源是路基沉降,随着路基填筑高度增加,路基沉降量占总沉降量的比例也逐渐提升。筑速速度对路基沉降量的影响主要集中在填筑施工阶段,随着填筑速度提高,路基的施工期沉降量、工后沉降量和最终沉降量均逐渐增加。
摘要:为研究市政管道基坑开挖对周边地表环境的影响,本文依托某明挖管道工程,采用基础资料收集、方案设计、数值模拟等技术,对城区受限场地内管道明开挖的支护方案进行研究比选。并根据数值模拟对基坑开挖过程中的稳定性及对周边环境的影响进行分析。结果表明,当受限场地内进行管道明开挖施工时,需要根据周边环境的控制条件,合理选择支护方案,研究区采用钢管桩 + 内支撑的支护方案,基坑开挖稳定性满足规范要求,基坑开挖过程中,通过数值模拟得到周边环境的最大竖向位移为 2.3mm ,位于基坑开挖至最大深度阶段,与不设内支撑工况得到的 3.6mm 相比,钢管桩 + 内支撑可有效减少基坑开挖过程中对周边环境造成的影响。
摘要:本文针对既有建筑基础结构安全评估中的关键技术问题,以实际案例为研究对象,创新性地建立了现场踏勘、现场检测、室内检测以及安全性计算为一体的四阶段评估体系。综合钻芯取样法、回弹法等混凝土检测方法得到该项目中基础部分的混凝土问题主要发生在底板位置,约有 21.27% 的底板混凝土强度不满足设计需求,通过计算机建模计算发现受底板混凝土强度降低的影响,该建筑基础部分整体强度和受力变形性能降低,但整体仍能够满足设计使用需求。本文研究内容为既有建筑基础安全评估提供了可量化的技术路径。
摘要:为了解决排水流量少和排水效率低的问题,研究提出了基于GIS技术的排水管网布局优化方法,计算排水管压力、壁厚、埋深参数,确定排水管渠的衔接方式。设计基于GIS技术的排水管网布局优化方案,使用了模块度优化评价指标,检验复杂管网连接的有效性。根据排水管网双向图结构,通过设定排水管网布局参数,优化排水管网布局。由试验结果可知,该方法排水流量和效率最大值分别为 70m3/s 和 97% ,具有高效排水效果。
摘要:本研究旨在探讨不同冲洗液配比对地质钻探施工性能的影响,本文研究了3种不同配比的冲洗液,具体配比:配比1(固相含量 5% 、润滑系数 .0.8,pH 值7.5)配比2(固相含量 10% 、润滑系数0.6、pH值8.0)和配比3(固相含量 15% 、润滑系数0.4、 ΔpH 值6.0)。结果表明,配比1在钻进速度、钻头寿命和钻孔质量方面表现最佳,其中,钻进速度提高了 25% (从平均 15m/h 升至 18.75m/h ),钻头寿命延长了 30% (从300h升至390h),钻孔质量系数提高了 20% (从0.75升至0.90)。研究结果为地质钻探施工提供了有效的技术支持,具有重要的应用价值。
摘要:煤矿机械设备安装与撤除是煤矿生产过程中的关键环节,直接影响生产效率和安全性。研究对某大型煤矿集团3个矿区进行实地调研,系统分析了重型机械设备的类型特点及环境适应性,建立了设备安装与撤除工序的机械化作业体系。试验数据表明,采用新型模块化液压支撑系统能将设备安装时间缩短 32.1% ,事故率降至0.15次/年。同时,基于多设备同步控制理论开发的群控系统有效提高了作业效率与安全性,系统总体可靠度达到0.956。研究结果为煤矿重型机械设备的优化选型和作业流程改进提供了科学依据,对推动煤矿设备安装与撤除作业的机械化、智能化发展具有重要意义。
摘要:面对复杂煤种并行掺烧带来的煤质扰动与热场失衡问题,传统锅炉燃烧控制策略存在响应迟滞与控制失配等瓶颈。因此,本文围绕锅炉燃烧优化控制,提出了一种集煤种在线识别、风粉状态感知、煤粉粒径测控与燃烧参数寻优为一体的智能控制方法。构建风粉均衡控制闭环模型与燃烧器动态适配机制,实现对燃料扰动的实时响应与精准调控。对比试验表明,该方法可显著减少炉膛温场波动、NOx排放浓度与未燃碳含量,提高系统燃烧效率与污染控制能力。研究结果验证了该控制方法在复杂工况下的鲁棒性与工程实用价值。
摘要:为研究混杂纤维对超高性能混凝土(UHPC)抗冻性能的影响,本文进行单掺或复掺PVA纤维和钢纤维UHPC的抗冻性能试验研究。结果表明,与未掺入纤维的UHPC相比,掺入钢纤维和PVA纤维可有效提高UHPC 的抗冻性能,PVA纤维对UHPC 抗冻性能的改善效果优于钢纤维,复掺两种纤维对UHPC抗冻性能的改善效果最好。研究基于冻融损伤度,建立UHPC冻融损伤模型,其中,三次多项式函数的拟合精度更高。经历400次冻融循环后,双掺PVA纤维和钢纤维UHPC的质量损失率为 0.09% ,动弹性模量损失率为 4.6% ,抗压强度损失率为 3.8% ,其优异的抗冻性能保证了UHPC在寒冷地区的工程应用。
摘要:为了提高船用吸入海水粗滤器的过滤效果和船舶的运行效率,本文进行船用吸入海水粗滤器排污局部阻力分析方法研究。首先,计算雷诺数Re,结合现场观察结果与测量数据,判断船用吸入海水粗滤器的流体流动状态。其次,识别滤器排污局部阻力的来源,确定局部阻力对滤器排污性能的影响程度。最后,明确海水经船用吸入滤器的流动过程,根据识别的来源对滤器排污局部阻力进行计算。试验结果显示,在海水流量从 0.5m3/h 增至5m3/h 的过程中,海水粗滤器排污局部阻力从0.01MPa增至0.055MPa,该方法不仅能够分析船用吸入海水粗滤器在排污过程中的局部阻力,而且得出了海水粗滤器在不同流量下的局部阻力数据,应用效果优势显著。
摘要:为了提高污水处理过程中生物脱氮的效果,本文利用筛选出的反硝化菌株HF-1、HF-2和实验室保藏的硝化菌株BX制备复合脱氮微生物菌剂,研究碳源类型、碳氮质量比(C/N) ΔpH 和培养温度对复合微生物菌剂生长和脱氮特性的影响。结果表明,在碳源为乙酸钠、C/N为20、 ΔpH 为7和温度 30°C 的条件下,复合脱氮微生物菌剂对 NH4+-N?NO3--N 和TN的去除率分别为 85.12% 、 93.31% 和 60.02% 。
摘要:本文针对传统蒸汽减温减压装置能耗高、效率低的问题,提出了一种基于蒸汽射流原理的节汽型减温减压装置。构建由蒸汽射流器、闪蒸罐和冷凝泵组成的系统,利用高压蒸汽减压过程中的压力能抽送冷凝水闪蒸蒸汽,实现能量梯级利用。研究采用热力学计算与工程验证相结合的方法,建立了闪蒸蒸汽量计算模型,并在某化工厂进行了应用验证。结果表明,当处理 42.69t/h 蒸汽时,系统可回收 .105°C 冷凝水中的 4.09t/h 闪蒸蒸汽,节约高压蒸汽 10.3% ,年经济效益为351.61万元。与传统减压装置和背压发电方案相比,该装置投资回收期缩短至1.31年,节能效率提升 42% 。该技术有效解决了工业蒸汽系统能量浪费问题,为流程工业的节能改造提供了新的技术路径。
摘要:黏土河岸边坡受环境影响,极易发生高度牵引式滑坡,本研究通过为期5年的监测计划,采用无人机摄影测量与全站仪地面控制点网络监测技术,对一高11m、坡度 .18.4° 的斜坡进行观测,旨在评估地表位移测量能否作为渐进破坏面扩展的预警指标。自2019年监测启动以来,地表位移数据显示,在2022年与2023年流动型牵引滑坡事件发生前,存在指向坡顶陡坎的缓慢形变累积,位于坡顶后方台地的地表位移监测点呈指向溪流的渐进累积位移特征,初期呈近似线性增长趋势,该类水平位移线性增长表征斜坡沿下部黏土层近水平破坏面滑动时产生的拉伸应变
摘要:本研究针对老年人对建筑环境的特定需求,提出了一种面向老年人的建筑环境智能感知与调控算法。该算法基于多模态数据融合技术,构建了一个自适应需求计算模型,能够实时捕获包括光照强度、温湿度、地面摩擦系数等多种环境参数。通过异构传感器网络和模糊逻辑控制,系统实现了对环境健康指数(Environment HealthIndex,EHI)的动态评估和风险预警。试验结果表明,该算法在应急响应时间、能耗效率和舒适度维持率等方面均显著优于传统方法,成功提高了老年人居住环境的安全性和舒适性,为适老化建筑环境改造提供了有效的技术支持。
摘要:本文针对内河救助船用起重机的臂架系统进行动力学研究。所研究的救助船是一种浮式起重船,由履带式起重机与内河驳船配套使用。根据多体系统动力学数值分析理论,建立臂架系统运动学和动力学数学模型,讨论臂架系统动力学问题的影响因素。将模态中性文件导入ADAMS软件中,建立臂架系统结构的柔性体模型,根据最危险工况下的实际情况添加约束和驱动,建立刚柔耦合动力学模型,进行动力学仿真,并求解臂架系统结构动态应力等。根据仿真结果对臂架强度进行分析,分析结果显示,臂架结构强度需要加强才能符合要求。
摘要:目前的继电保护数据安全技术数据丢包率过高,因此,本文基于区块链研究一种新的继电保护数据安全技术。计算系统最大存储信息量,构建基于区块链的继电网络纵深防御模型,对篡改攻击进行实时探测和自动截获。根据网络中信息传递特性,计算不同节点间传输距离,确定防御节点位置,完成数据篡改自主防御。由试验结果可知,基于区块链的计算机通信网络入侵攻击防护技术数据安全传输密度高,具有较强的鲁棒性。
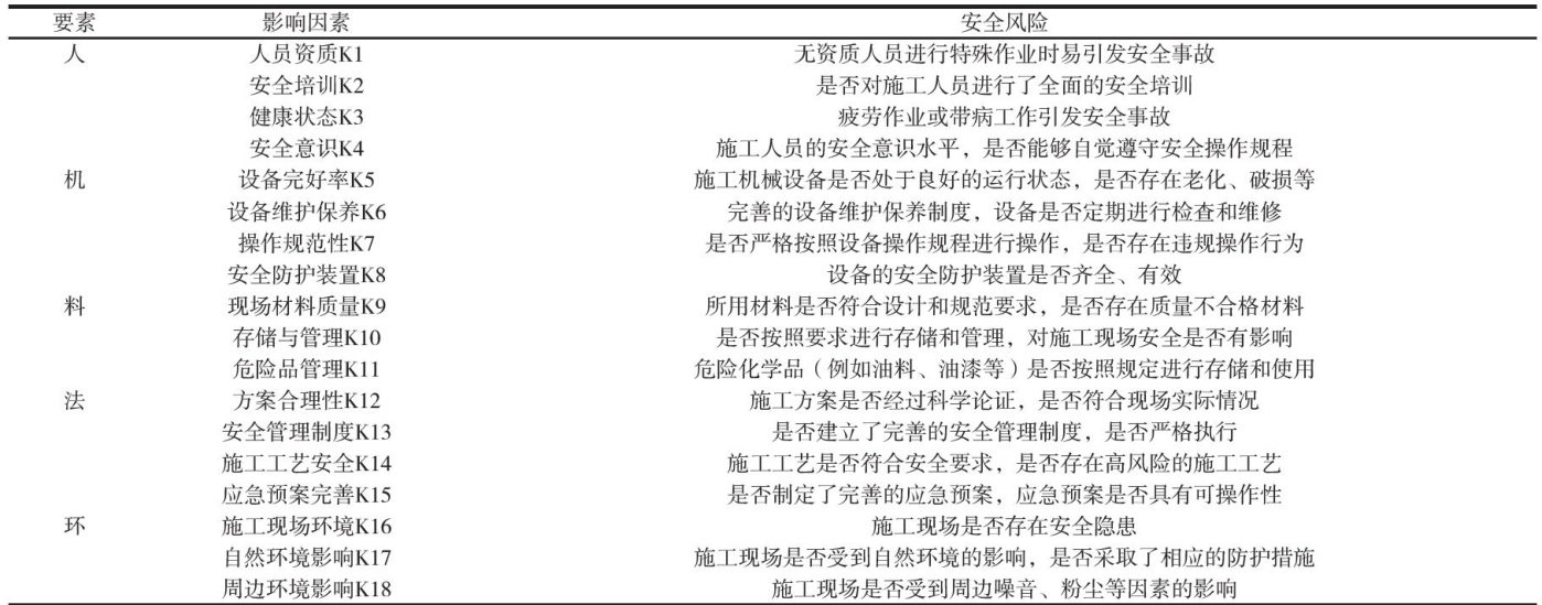
摘要:本文以安徽省H水闸工程为例,采用4M1E法识别施工安全风险因素,并利用LEC法对风险影响因素进行半定量评估。基于K-means聚类分析,将施工安全风险因素分为低风险(L1级)中风险(L2级)和高风险(L3级)3个等级,并针对不同风险等级提出了相应的管控措施。结果表明,采用K-means聚类分析法能够有效识别并分级水闸工程施工中的风险因素,为施工安全管理提供科学依据,有助于降低风险发生概率,提高施工质量与效率。
摘要:当电气设备异常时, SF6 气体泄漏检测受激发态变化影响,导致泄漏信号功率谱密度检测值与实际值出现偏差,影响检测结果的准确性。因此,本文提出基于神经网络的电气设备 SF6 气体泄漏检测方法。确定3个超参数,定义 SF6 气体泄漏检测稀疏网络,输入连续的红外图像序列,计算灰黑区域像素概率密度函数,利用神经网络定位 SF6 运动区域并评估不规则度,测定设备 SF6 气体泄漏区域功率谱密度,实现精准检测。结果表明,在特定频率下,6种阀门开度对应的泄漏信号功率谱密度检测值存在异常波动,检测结果较准确,对提升电气设备 SF6 气体泄漏检测精度具有重要作用。
摘要:由于计算机网络规模较大、环境复杂,极易受外界恶意攻击,导致用户数据泄露等安全问题,本文提出基于改进MD5算法的计算机网络用户身份安全认证方法。将计算机网络用户身份数据加密参量转换为MD5算法可处理的格式。改进MD5算法迭代过程中的消息扩展算法,将加密参量代入改进算法中,定义用户身份认证规则,进行计算机网络用户身份安全认证。试验结果表明,设计方法可以有效降低攻击成功率,并提升吞吐率,为计算机网络用户身份安全认证提供新的解决方案。