摘要:基因编辑技术能够精准修饰目标基因,使目标生物获得可稳定遗传的优良性状。随着科学和技术的进步,基因编辑技术的应用拓展到更宽广的领域。本文首先对不同基因编辑技术作了概述,重点介绍了CRISPR/Cas技术的发展与应用以及该技术在草类植物尤其是草坪草中的研究进展,对基因编辑植物监管制度现状做了系统阐述,并对基因编辑技术在草坪草中的应用和发展做了讨论和展望。
摘要:全球气候变化导致积雪减少与氮沉降加剧,共同威胁北方生态系统。本研究以华北退化沙荒地为对象,通过积雪覆盖/除雪和施氮 (50kg?ha-1) /不施氮双因子野外控制试验(4处理 ×4 重复),探究短期(1年)复合处理对土壤细菌群落结构、多样性及网络稳定性的影响。结果表明:施氮处理(CKN1)显著提高土壤硝态氮 (P<0.05) 和微生物生物量碳(MBC)含量 (P<0.05) ,细菌群落Sobs指数显著增加 13% ;除雪处理(SONO)显著降低MBC含量 P< 0.01)。冗余分析(RDA)揭示硝态氮 (NO3--N) 、铵态氮 (NH4+Σ-N) 和速效钾(AK)是驱动群落结构变化的关键因子,其中Methylomirabilota和NBl-j相对丰度与 NO3---N 显著正相关 (P<0.01) 。分子生态网络分析表明,施氮与除雪处理均提升了网络复杂性。综上,积雪减少与氮沉降通过调控关键环境因子协同影响土壤微生物群落结构与网络稳定性,本研究为沙荒地生态修复提供了科学依据。
摘要:全球草原退化形势严峻,补播豆科牧草是重要恢复手段,但其苗期建植常受干旱胁迫制约。本研究旨在探究丛枝菌根真菌(Arbuscular mycorrhizal fungi,AMF)接种对补播豆科牧草黄花苜蓿(Medicago falcata)抗旱能力的调控机制。采用退化草甸的原位土壤进行黄花苜蓿盆栽试验,设置接种幼套近明球囊霉(Claroideoglomus etunica-tum)摩西斗管囊霉(Fumneliformis mosseae)、二者混合接种及不接种对照,试验在不同的干旱条件下进行,测定生长、根系形态及养分吸收。结果表明,在自然微生物群落存在的退化土壤中,两种AMF均能与黄花苜蓿形成良好的共生关系。干旱胁迫下,AMF接种使根长、根表面积增加 156.71%~423.92% ,植株氮、磷含量最高提升达769.03% 和 1120.50% ,并通过协同增强根系构型与养分活化,显著提高植株抗旱性及干旱后恢复力。此外,幼套近明球囊霉更具干旱适应性,且混合接种无协同效应,表明退化草地修复可选择适应性强的单一AMF菌株。
摘要:本研究通过温室栽培,以‘兰箭3号'春箭筈豌豆(Vicia satiua‘LanjianNo.3')为试验材料,探究了4个磷水平(2号 (P0=0,P1=10mg?kg-1 P2=20mg?kg-1 P3=30mg-kg-1, 下丛枝菌根(Arbuscularmycorrhiza,AM)真菌摩西斗管囊霉(Fumeliformis mosseae)对箭筈豌豆炭疽病的影响。结果表明,供P水平可影响AM真菌侵染率以及炭疽病发病率, ΔP3 水平下AM真菌侵染率最高, ΔP1 处理发病率和病情指数最高。AM真菌显著降低炭疽病发生。植物防御酶超氧化物歧化酶(Superoxide dismutase,SOD)及过氧化物酶(Peroxidase,POD)活性在P处理下均有所降低;炭疽病和供P水平对AM真菌的侵染具有交互效应,在低 P(P0,P1) 水平表现为促进,在高 P(P2,P3) 水平则表现为抑制。本研究通过研究AM真菌与P协同作用对箭筈豌豆响应炭疽病的影响,为箭筈豌豆生产中磷肥合理施用及利用AM真菌防控炭疽病提供了理论依据。
摘要:种子是农业生产的重要基础资源,其表面携带的真菌可通过垂直传播影响植物健康及农产品质量。本文以6个玉米(Zeamays)品种(品系)为研究对象,采用Illumina MiSeq高通量测序技术,系统分析种带真菌的多样性及潜在功能。结果显示,6个玉米品种所含的主要真菌群为子囊菌门、担子菌门和毛霉门,其中子囊菌门占优势;肉座菌目和毛霉目为优势菌目,镰孢菌属、根霉菌属和青霉菌属为主要优势属。不同品种间真菌群落结构及多样性差异显著 (P<0.05) ,如‘明天695'中镰孢菌属丰度高于‘德光168’。种子生产年份也显著影响真菌组成,2023年种子中镰孢菌属丰度最低,2021年种子带菌率最高。Alpha多样性、Beta多样性及LEfSe分析结果均揭示不同品种间群落结构存在差异。功能预测共识别出68个KEGG代谢通路和27类生态功能,病理寄生-腐生功能占主导。储存时间延长可能促进病原真菌积累并影响能量代谢通路。本研究为玉米种带真菌多样性解析、种子健康评估及靶向杀菌剂开发提供理论依据。
摘要:葱属(AliumL.)隶属于石蒜科,含900余种,兼具重要经济和药用价值。为解析葱属叶绿体基因组特征及开发分子标记,本研究基于高通量测序技术完成韭菜(Allium tuberosum Rotler ex Sprengle.)叶绿体基因组组装及注释,并与洋葱(Allum cepaL.)实葶葱(Allium galanthumKar.&Kir.)野葱(Allium chrysanthum Regel.)、阿尔泰葱(Allium altaicum Pall.)、葱(Allium fistulosum L.)和糙葶北葱(Allium schoenoprasum L.)6个近缘种进行比较。通过简单重复序列(Simple sequence repeat,SSR)、密码子偏好性、反向重复序列边界、共线性及系统发育分析,结果显示:7种植物叶绿体基因组全长为152852~154056bp,GC含量均为 37% ,呈典型四分体结构;共检测到 73~ 99个SSRs,以单核苷酸重复(A/T型)为主,韭菜特有的六核苷酸重复序列AAAAAT/ATTTTT推断与编码序列(Coding sequence,CDS)区定位及基因表达调控相关;葱属叶绿体基因组整体保守,但反向重复序列b(Invertedrepeatb,IRb)与小单拷贝(Smallsingle-copy,SSC)边界差异较大;韭莱与野葱亲缘关系较近,与阿尔泰葱关系较远。本研究为葱属遗传多样性、特异基因挖掘及系统发育等研究提供了重要参考。
摘要:本研究基于Illumina高通量技术对泡果茜草(Microphysa elongata(Schrenk)Pobed.)叶绿体基因组进行测序,并对其叶绿体基因组进行注释,结构特征及其系统发育关系分析。结果显示:泡果茜草叶绿体基因组具有典型的四分体结构,基因组长度为155 O87bp。其中,大单拷贝区(Large single-copy region,LSC)长度是 85399bp ,小单拷贝区(Smallsingle-copy region,SSC)长度是 17110bp ,两个反向重复区(Inverted repeat regions,IR)的长度均是 26289bp 。该基因组有87个蛋白质编码基因、37个转运RNA基因和8个核糖体RNA基因。在奇异拉拉藤属(Pseudogalium)和泡果茜草属(Microphysa)中,rps19,ndhF和ycf1基因的长度及其与边界的距离是导致反向重复区差异的原因。非编码区的变异程度显著大于编码区。泡果茜草共检测到60个散在重复序列、86个简单重复序列位点和27029个密码子,最常用的密码子是苯丙氨酸(Phe)的UUU且偏好使用A/U结尾。系统发育分析表明:泡果茜草形成独立分支,并嵌套于广义拉拉藤属(Galium)中。本研究可为茜草族植物遗传结构与多样性、特异基因挖掘以及系统发育等研究提供参考。
摘要:为研究 MgSO4 胁迫对紫花苜蓿(Medicago satiuaL.)生理响应和基因表达的影响,本研究以紫花苜蓿‘中苜1号为供试材料,利用水培法,设置6个浓度(0,40,80,120,160和 200mmol?L-1)MgSO 4模拟盐胁迫处理,测定紫花首蓿种子萌发指标、幼苗生长及生理指标和耐盐相关基因的表达量。结果表明:随着 MgSO4 浓度升高,紫花苜蓿种子萌发和幼苗生长受到抑制;幼苗内叶绿素、脯氨酸、可溶性蛋白、可溶性糖、丙二醛含量和超氧化歧化酶活性呈上升趋势;根冠比、过氧化物酶和过氧化氢酶活性呈先上升后下降趋势;通过分析紫花苜蓿耐盐相关基因表达量变化发现,与酶活、光合作用、黄酮醇合成、蜡质合成和油菜素内酯合成途径相关的基因在‘中苜1号'紫花苜蓿幼苗耐MgSO4 胁迫中可能发挥重要作用。综上,中首1号'紫花苜蓿具有在 MgSO4 含量小于等于 200mmol?L-1,pH 值小于9的盐碱地上种植的潜力。
摘要:为探究不同修复方式对退化高寒草地的影响,本研究以祁连山中度退化草地(CK)为对照,设置春季休牧C T1) 和春季休牧十免耕补播 (T2) 两种修复方式,分析植被与土壤真菌群落变化。结果表明:两种修复方式均显著降低杂类草重要值,提高了未本科和莎草科重要值且植被地上生物量在 ΔT1 和 T2 处理下分别增加 64.34% 和480.28% ,且 T2 显著高于 T1° 修复措施显著提升了物种丰富度、多样性和均匀度指数,降低了优势度指数。土壤真菌群落以子囊菌门、被孢霉菌门和担子菌门为主,在 T2 处理中子囊菌门丰度显著提高并降低被孢霉菌门丰度。NMDS分析显示不同修复措施改变真菌群落结构, T2 处理使Chaol和ACE指数显著降低。冗余分析表明,植被生物量和土壤有机碳是驱动真菌群落变化的关键环境因子。综合表明,免耕补播结合春季休牧对退化草地的修复效果最优,能同步改善植被和土壤微生物群落结构。
摘要:根瘤菌能够增强紫花苜蓿的固氮能力,同时提升其在非生物胁迫下的抗逆性。本研究以‘新疆大叶'紫花苜蓿(Medicagosatiua‘XinJiangDaYe')和根瘤菌Dangeard1926为材料,采用 -0.6MPa PEG-6000模拟干旱胁迫,旨在探究不同干旱时间(干旱处理第7,11,15天分别记为 D7,D11 和 D15) 对接种根瘤菌后紫花苜蓿表型、生理和固氮能力的影响。研究发现,随着干旱时间的延长,紫花苜蓿的株高、地上生物量、叶片相对含水量、根系活力和叶绿素 (a+b) 含量显著下降,然而氨基酸含量(苯丙氨酸、甲硫氨酸、谷氨酸、酪氨酸、半胱氨酸、丝氨酸以及天冬氨酸)丙二醛含量、游离脯氨酸含量、超氧化物歧化酶和过氧化氢酶活性显著提高,且在 D15 胁迫效应最显著。在 D15 时,与接菌处理(R)相比,干旱条件下接菌处理(GR)的单株根瘤数量、单颗根瘤重量及固氮酶活性分别降低了 33.33%,23.47% 和 58.03% 中 ?P<0.05) ,但与干旱处理(G)相比,GR处理的株高、地上干重、超氧化物歧化酶和过氧化氢酶活性分别提高了53.42%,36.40%,35.24% 和11 .66%(P<0.05) ,同时丙二醛含量显著降低了 13.71% 。综上,虽然与非干旱胁迫相比,干旱胁迫会抑制紫花苜蓿的固氮能力,但是干旱条件下接种根瘤菌可增强紫花苜蓿植株抗旱能力。
摘要:青藏高原生态系统脆弱且稳定性低,对气候变化和人类活动敏感。研究该区域草地物种多样性及其生产力,对评估生态系统结构功能与区域生态保护意义重大,但其对环境因子的响应及环境因子、物种多样性对生产力的调控机制仍存争议。本研究基于三江源国家公园(唐北区域)144个样点的实测数据,包括群落结构、土壤因素和气候指标,采用回归分析、层次分割和结构方程模型相结合的方法,解析该区域物种多样性与生产力的关系及其影响机制。研究结果表明:物种丰富度与地上净初级生产力(Aboveground net primary productivity,ANPP)的关系 (R2 =0.18) 比Shannon-Wiener指数与ANPP的关系 R2=0.09 更为紧密;土壤速效磷对物种丰富度的解释率最高(33. 51% ),年均降水量对Shannon-Wiener指数的解释率为 20.98% ,均呈正相关关系;气候因子和土壤因子对ANPP具有直接影响,而地理因子通过调控气候因子间接影响ANPP。本研究阐明了三江源国家公园(唐北区域)物种多样性与生产力关系的分异特征,发现土壤速效磷、年均降水量等对物种丰富度和Shannon-Wiener指数影响显著,且气候、土壤和地理因子以直接或间接方式调控了草地生产力,为解析高寒草地生态系统结构与功能关系提供了依据。
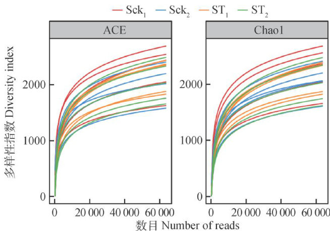
摘要:高原鼠兔作为青藏高原高寒草甸生态系统中的特有哺乳动物,其干扰可能加速高寒草甸退化,而高寒草甸退化对土壤古菌群落有显著影响。本研究以高原鼠兔干扰下的表层土壤 (0~10cm,ST1) 与亚表层土壤 (10~20cm ,ST2) 作为研究对象,基于古菌16S rRNA进行高通量测序,对高原鼠兔干扰下的土壤古菌群落特征变化进行研究。结果表明:不同处理下土壤古菌的优势菌门均为奇古菌门(Thaumarchaeota),优势菌属均为亚硝化球菌属(Candi-datus Nitrososphaera);与自然状态相比,高原鼠兔干扰下土壤古菌群落的表层土壤多样性上升,亚表层土壤多样性下降;LEfSe分析发现高原鼠兔干扰增加亚表层土壤中亚硝化球菌属、海洋异养古菌类群(Marine Group II)及热原体纲(Thermoplasmata)3个与氮循环相关菌群的相对丰度。总而言之,高原鼠兔活动影响了高寒草甸土壤古菌的群落结构,且对表层土壤的影响较明显。
摘要:为探究蔗糖(Sucrose,Suc)和吲哚乙酸(Indole-3-acetic acid,IAA)对青海扁茎早熟禾(Poa pratensis L.var.anceps‘Qinghai')根茎发育的调控作用,本试验以青海扁茎早熟禾为材料,分析蔗糖和IAA对根茎早期蔗糖代谢和激素含量的影响。结果表明:外源蔗糖和IAA均能促进根茎早期发育,但作用机制存在差异。Suc处理可以促进IAA合成或运输,增加根茎IAA含量,从而增强对蔗糖的吸收,激活蔗糖分解相关酶活性同时伴随着淀粉的积累;IAA处理可以增加内源IAA含量,促进蔗糖向根茎运输,并增加了蔗糖和淀粉分解酶活性,加速蔗糖和淀粉的分解,抑制淀粉积累,从而促进根茎发育。值得注意的是,Suc与IAA在蔗糖的积累过程中表现出协同作用,但在淀粉积累过程中则呈现拮抗作用。
摘要:植物根系在土壤与地上部分之间起着关键连接作用,且根系会改变其形态响应放牧干扰,从而优化资源获取效率。为探究荒漠草原建群种短花针茅(Stipa breviflora)根系形态对放牧干扰的适应性及其影响因素,本研究依托内蒙古四子王旗荒漠草原长期放牧试验平台,研究了不同放牧强度[对照(CK)轻度放牧(LG)、中度放牧(MG)和重度放牧(HG)]对短花针茅根系生物量、总根长、平均直径和总表面积的影响。结果表明:与CK相比,LG和MG处理显著提高了短花针茅根系生物量、总根长和总表面积,而HG处理显著降低了这些指标;所有放牧处理均显著降低了根系平均直径。冗余分析表明,土壤硝态氮含量是影响根系形态的关键环境因子。本研究表明,适度放牧有助于短花针茅根系生长,而过度放牧则产生抑制作用,这为荒漠草原的可持续管理和生态保护提供了科学依据。
摘要:为评估不同措施对盐渍化土壤的改良效果,本研究以饲用玉米地不施肥(CK)、施有机肥 2.1×104kg?hm-2 (204(T1)有机肥 2.1×104kg?hm-2+ 磷酸脲 1500kg?hm-2(T2) 、有机肥 2.1×104kg?hm-2+ 秸秆 4500kg?hm-2(T3) 、有机肥 2.1×104kg?hm-2+ 秸秆 4500kg?hm-2+ 磷酸脲 1500kg?hm-2(T4) 为研究对象,对不同土层土壤理化性质、盐分离子和有机碳组分进行了研究。结果表明:不同月份间,各处理土壤可溶性 Na+,Cl-,SO42- 和全盐含量均表现为6月 >8 月 >10 月;AN、AP、SOM、易氧化有机碳(ROC)和惰性碳(NLC)含量均表现为6月 >10 月 >8 月;K+ 和 Mg2+ 含量均表现为8月 >10 月 >6 月; Ca2+ 含量表现为6月 >10 月 >8 月;AK含量表现为10月 >8 月 >6 月。4种处理下, K+ Mg2+ ,AN,AP,AK,SOM,ROC和NLC含量在不同月份的均值均高于CK,其中T4处理各指标较CK分别增加了 83.33%,12.03%,86.38%,352.93%,33.04%,61.07%,61.07%,1.1% 品 28.87% ;而 Na+,Cl-,SO42- 和全盐含量均值均小于CK,其中T4处理各指标较CK分别降低了 55.21%,30.23% 和 80.82% 。综合评价表明,不同改良措施对盐渍化土壤的改良效果表现为 T4>T2>T3>T1>CK. 。
摘要:萌发期是植物生命周期的初始阶段,种子的发芽能力和活力决定了植物的形态建成,为了解不同燕麦(AuenasatiuaL.)种质资源的耐盐程度,筛选得到耐盐性材料,从而为培育燕麦耐盐新品种奠定基础。本研究分别用0mmol?L-1 50mmol?L-1 100mmol?L-1 和 150mmol?L-1 浓度的NaCI溶液对4O份燕麦种质资源进行盐胁迫处理,并测定其发芽率、发芽势、发芽指数、种子活力指数、根长、芽长;采用主成分分析、隶属函数和聚类分析对参试材料的耐盐性进行综合评价。结果表明:40份燕麦种质的发芽率和发芽势、发芽指数和种子活力指数均随盐浓度的增加呈降低趋势,根据耐盐性综合评价值对40份燕麦进行聚类分析,划分为4个类别,初步筛选出极度耐盐材料1份,耐盐材料4份,敏盐材料10份,极度敏盐材料25份。极度耐盐品种‘AN220'在 50~150mmol?L-1I NaCl浓度下表现出较强的耐盐性,极度敏盐群体种质在 50mmol?L-1NaCl 浓度下种子萌发受抑制明显。
摘要:微咸水是新疆重要的灌溉水资源,本研究选取紫花苜蓿等10种新疆具有代表性的牧草,配置含有8种盐类的混合盐来模拟新疆的微咸水,设置 0,2,4,6,8g?L-1 五个矿化度梯度,系统考察植株在生物学特性、生理生化特性及功能性状方面的响应,并结合相关性分析与熵值法构建加权回归模型。结果显示,在生物学特性方面,中高矿化度下苦豆子和新麦草的根长显著提高,紫花苜蓿与沙打旺优先分配地上生物量;生理生化特性方面,随矿化度升高,多数牧草Fv/Fm下降、MDA含量升高,表明牧草在高矿化度下均光合效率受抑且膜脂过氧化加剧,其中沙打旺POD活性和无芒雀麦SOD、CAT活性上升最为显著;功能性状分析表明,新麦草、扁穗冰草等通过提高根系吸收能力适应盐胁迫,而紫花苜蓿、苦豆子则通过降低“株高/根长"来优化地上与地下部分的资源分配。回归模型计算得出新麦草、沙打旺、扁穗冰草、无芒雀麦和苦豆子的耐盐阈值分别为7.00,7.50,7.75,8.67和 10.80g?L-1 ,上述牧草耐盐性较强,可作为新疆微咸水灌溉下人工草地的优选品种,其余品种耐盐性较弱,不宜在高矿化度条件下推广。
摘要:本研究以蜀葵(Alcea roseaLinn.)种子为材料,通过聚乙二醇PEG-60OO模拟干旱胁迫和NaCl模拟盐胁迫,采用随机区组试验的方法,探究了蜀葵种子对干旱和盐胁迫及其交互胁迫的萌发响应,旨在揭示其耐受阈值。结果表明:单一干旱胁迫下,随干旱程度加剧各萌发指标均下降,重度干旱( 25% PEG-6000,-0.73MPa)时种子完全丧失萌发能力。单一盐胁迫下,萌发指标随 NaCl 浓度升高而降低,高盐 NaCl>0.20mol?L-1 时萌发停止。交互胁迫下,极轻度干旱 (5% PEG)与极低盐 (<0.05mol?L-1N aCI)组合可促进萌发;中偏重度干旱 c>20% PEG,-0.49MPa) 下低盐 (<0.10mol?L-1) 可维持萌发,而高盐 (>0.20mol?L-1) 下轻中度干旱( PEG, -0.30 MPa) 仍可使部分种子萌发; NaCl>0.20mol?L-1 且PEG >25% 时,种子完全不能萌发。萌发临界值 (50% 发芽率)在 10%~12% PEG (-0.20~-0.15MPa) 与 0.05~0.08mol L-1 NaCl交互下;耐受极限 (25% 发芽率)为17%~20%PEG(-0.49~-0.37MPa) 与 0.12~0.14mol?L-1NaCl 交互下。研究结果系统揭示了蜀葵种子对复合胁迫的响应规律及其生理耐受阈值。
摘要:为明确短花针茅(Stipabreuiflora)个体形态特征及个体多样性对载畜率的响应特点和规律,本研究以内蒙古乌兰察布市四子王旗短花针茅草原为研究对象,采用载畜率单因素随机区组试验设计,每一区组设置围封不放牧区(CK)轻度放牧区(LG)、中度放牧区(MG)和重度放牧区(HG)4个试验处理,载畜率分别为O,0.91,1.82,2.71羊单位 ?hm-2?(0.5a)-1 ,基于代表区代表性样地取样方法,结合双因素方差分析、多样性指数计算以及对应分析方法,得到如下结果:(1)重牧导致短花针茅个体基部面积、投影面积、高度下降;(2)短花针茅个体基部面积、投影面积和高度均伴随龄级增大而增大。(3)短花针茅个体丰富度伴随载畜率增大而增大,适度放牧下短花针茅个体Shannon-Wiener多样性指数和Pielou均匀度指数较大,Simpson优势度指数较小; (4)C2~C4 龄级对抵御放牧干扰具有重要意义。总之,重牧导致短花针茅个体形态缩减(基部面积、高度、投影面积下降),种群通过密度增加维持盖度但加剧干旱年斑块性死亡风险;同时,其通过龄级跃迁和个体多样性补充物种多样性损失,从而缓冲放牧干扰,维持群落结构与功能稳定。
摘要:本研究对lO6份饲用燕麦(Auena satiuaL.)种质资源茎秆强度相关性状进行遗传变异分析,综合评价茎秆强度在饲用燕麦抗倒伏遗传育种方面的利用价值。结果表明,供试种质茎秆强度相关性状均符合正态分布规律,遗传多样性指数为 1.26~1.88 ,变异系数为 17.07%~40.59% 。株高、重心高度与基部第2节间穿刺强度、抗压强度极显著负相关 (P<0.01) ,穗下节长、单茎鲜重对基部第2节间弯折性能、穿刺强度和抗压强度无显著影响,基部第2节茎粗、壁厚与其穿刺强度、弯折性能和抗压强度极显著正相关 (P<0.01) ;前2个主成分因子中基部第2节茎长、茎粗对茎秆强度的贡献率较大。第IV类群种质基部第2节间茎粗、壁厚、弯折性能和抗压强度较高,筛选出22份茎秆强度相关性状表现优异的种质,可为挖掘茎秆强度基因资源和创制高产抗倒燕麦新品种奠定基础。
摘要:为了更好地筛选出高产优质、适应性强的苜蓿(Medicago satiruaL.)品种材料,提高苜蓿产量和新品种选育效率,本试验以单株种植在内蒙古呼和浩特地区的11个‘WL'系列紫花苜蓿品种为材料,通过变异系数分析、相关性分析、聚类分析等方法对其主要表型和品质指标进行分析和评价。结果表明,首蓿品种的表型和品质性状的变异系数介于 2.86%~22.62% 之间,变异系数最大的是干重,变异系数最小的是中性洗涤纤维。相关性和主成分分析得出株高、茎直径是影响草产量的重要因素,叶茎比是影响苜蓿品质的主要因素。聚类分析可将11个‘WL'系列的首蓿品种划分为3类,其中,第Ⅱ类材料可直接应用于生产或可作为高产、优质品种遗传改良的亲本材料,第Ⅲ类中的品种可作为优质首蓿育种的材料进行进一步挖掘和互补利用。
摘要:为探究水分胁迫对梭罗草(Kengyiliathoroldiana)种子萌发和幼苗生长的影响,本研究以青海省4个地理种群梭罗草种子为研究对象,采用不同PEG浓度溶液模拟水分胁迫环境,测定4个采集地梭罗草种子萌发和幼苗生长生理相关指标。结果表明,干旱胁迫下4个采集地梭罗草种子萌发和幼苗生长发育均受到抑制,随干旱胁迫程度增加,梭罗草种子发芽率、发芽指数及幼苗高度和胚根长度不断降低。轻度干旱胁迫 (-0.2MPa,-0.4MPa) 时,萌发速率、发芽率、发芽指数和简化活力指数均较高,幼苗生长发育较快;水涝 (0.0MPa) 或干旱 (-0.8MPa ,-1.0MPa,-1.2MPa) 抑制种子萌发和幼苗生长。相关性分析表明,除丙二醛外,其余14种种子萌发和幼苗生长相关指标之间均呈正相关关系。隶属函数评价表明,4个采集地梭罗草种子萌发能力由强到弱依次为:唐古拉山镇> 曲麻河乡 > 花石峡乡 > 上拉秀乡。
摘要:为了筛选出适合河北低平原区种植的高产、优质一体化的苜蓿(Medicago satiruaL.)品种,本研究在衡水市对20个首蓿品种进行了3年生产性能比较,并采用灰色关联度分析对10个指标进行了综合评价。结果表明:连续3年,国内品种‘保定苜蓿’和‘龙牧803'平均越冬率最高,分别为 92.46%,90.86% ,而国外品种越冬率在 60% 以下,其中‘赛迪7号'仅有 53.35% 。从年限来看,第3年产量最高;从不同茬次来看,第1茬产量所占比重最高,明显高于第2~4茬;‘中首1号’‘中首3号'干草总产量较高,WL343HQ'‘康赛‘阿迪娜'粗蛋白含量较高,WL343HQ”‘沃苜1号'相对饲用价值较高。灰色关联度分析表明,‘中首1号”中首3号“保定苜蓿”‘中首6号”‘中首4号'等加权关联度较高,建议在河北低平原区应用,种植年限3~5年为宜。
摘要:土壤多功能性(Soilmultifunctionality,SMF)对草地生态系统服务和区域可持续发展具有关键影响。本研究通过围栏放牧试验探究了不同放牧强度 羊 hm-2 及放牧时间对黄土高原退耕草地SMF的影响。结果表明,轻度放牧 (2.2~3.0 羊 可促进土壤有机碳(Soilorganiccarbon,SOC)和全氮(Totalnitrogen,TN)积累,并呈现时间累积效应;轻度放牧增加铵态氮 (NH4+ -N)含量,而对硝态氮 (NO3- -N)及速效磷(Availablephosphorus,AP)含量无显著影响;同时,轻度放牧显著提高土壤 C:P 和 N:P,G1-G2 放牧处理 C:P 增加 8.03%~9.81% N:P 增加 10.87%~11.59%,G5 放牧处理显著降低C:P和 N:P ;随着放牧历时增加, G1-G5 放牧处理 C:P 和 N:P 均降低,表明磷可能成为该区土壤养分供应的限制因子。各放牧强度下表层土壤SMF在两年内未发生显著变化,土壤显示出较强的系统稳定性。综上,适度放牧( ?3.0 羊 可在短期内增加土壤养分,维持SMF稳定,这为黄土高原退耕草地科学管理及适度利用提供科学依据。
摘要:光伏电站作为清洁能源迅速发展,但其建设对荒漠生态系统的影响尚不明确。本研究以甘肃民勤红沙岗运行7年的光伏电站为对象,调查光伏板下(Under the photovoltaic panels,BX)、板间(Between photovoltaic panels,BJ)及未受干扰区(CK)的植被特征及土壤理化性质,并分析其相互关系。结果表明:BX和CK的物种Margalef丰富度指数、Shannon-Wiener多样性指数、Simpson优势度指数、植被盖度及地上生物量均高于BJ;BX和BJ的土壤含水量、有机质、速效钾、速效磷含量增加,而pH值、电导率降低;植被盖度、地上生物量与土壤电导率显著负相关。总体而言,光伏电站运行7年后改善了土壤理化性质,并促进了物种多样性和生物量增加。本研究为荒漠地区光伏开发的生态影响评估及可持续管理提供了科学依据。
摘要:荒漠草原过度放牧导致土壤生态能力显著下降。驼绒藜(Ceratoides latens)作为荒漠草原的重要物种对土壤养分维持具有重要作用。本研究旨在揭示载畜率与空间因素对驼绒藜邻近土壤养分的影响。试验在内蒙古四子王旗荒漠草原进行,设置对照区CK[Osheep hm-2?(0.5a-1) ]、轻度放牧LG[0.93sheep hm-2.(0.5a-1) 、中度放牧MG[1.82 sheep· hm-2?(0.5a-1) ]和重度放牧HG[2.71sheep ?hm-2?(0.5a-1) ]四个载畜率处理。每个小区内以驼绒藜为中心,在东、西、南、北四个方向上每 0.25m 设置1个取样点,测定土壤有机碳、碱解氮、速效磷和速效钾并分析空间分布特征。结果显示,随着载畜率的升高,土壤养分含量均显著降低 (P<0.05) ,LG区距驼绒藜 0.5m 处土壤有机碳含量最高。有机碳与速效钾在西侧 0.25m 处最高,速效磷在东侧 0.5m 处富集。在HG区,方向与速效钾、距离与碱解氮呈显著负相关 (P<0.05) 。轻度放牧下驼绒藜具有较强的养分富集能力,而重度放牧显著破坏了这一功能。
摘要:针对农牧交错带青贮玉米(Zeamays)品种适应性差、产量与品质协同优化机制不清楚,适宜榆阳风沙草滩区种植的青贮玉米品种数量少等问题。本研究以12个青贮专用型和粮饲兼用型玉米新品种为研究对象,通过双因素试验设计(2个密度梯度 ×12 个品种),结合灰色关联分析法对11项农艺性状、产量性状及营养品质指标进行综合解析。结果表明:品种对主要农艺性状、生物产量和营养品质等指标影响均较显著,密度仅影响株高、茎粗等农艺性状,而株高、茎粗、绿叶数和鲜重等指标受品种与密度交互效应影响。京九青贮16'和‘京科932’鲜草产量较高,分别达57.96和 57.91t?hm-2 ;‘京科 932°(8.25×104 株 ?hm-2) 与‘科河 S99′(6.75×104 株 ?hm-2) 综合排名表现优异,适宜在榆阳风沙草滩区进行示范和推广种植。对于降低畜牧业养殖成本,发展规模化养殖,促进农业产业结构调整等都具有重要意义。
摘要:试验旨在研究陇中华家岭二阴区燕麦青贮发酵品质及细菌群落动态变化,为燕麦高品质青贮利用提供依据。以乳熟期燕麦全株为原料进行真空青贮,自然气温 Δ6~12°C) 下发酵,在发酵第 3d,7d,14d,30d 开袋取样,测定并分析营养成分、发酵品质及细菌群落特征。结果表明,随着发酵时间的延长,可溶性碳水化合物在青贮30d较Od降低了 55.52% ;中性洗涤纤维和酸性洗涤纤维含量在青贮7~30d显著下降 (P<0.05) ,青贮30d时较0d分别降低了 10.25% 和6. 23% ;pH值下降至4.15;乳酸、乙酸及丙酸含量显著增加 (P<0.05) ,丁酸含量在各样品中均未检测到。随着发酵时间的延长,细菌群落物种丰富度先增加后减少,优势菌门由变形菌门(Proteobacteria)和蓝细菌门(Cyanobacteria)演变为厚壁菌门(Firmicutes),优势菌属由罗森伯氏菌属(Rosenbergiella)、泛菌属(Pantoea)等演变为植物乳杆菌属(Lactiplantibacillus),且青贮7d时,植物乳杆菌属成为优势菌属,平均占总属类的 44.78% ,青贮14d时的细菌丰富度达到高峰。植物乳杆菌属、促生乳杆菌属(Leuilactobacillus)等有益微生物是影响燕麦青贮品质的核心微生物组分,显著影响营养成分和发酵指标。
摘要:为在高海拔地区推行结合微生物与有机肥料的环保施肥方案,进而建立长效的饲草生产系统,本研究以‘甜燕麦'为试验材料,采用随机区组设计,系统分析不同施肥处理下燕麦的农艺性状、产量质量及土壤健康状况,筛选菌肥最佳施用量。结果表明,与对照(CK)相比, HC4 (添加哈茨木霉菌菌剂 7.5kg?hm-2 ,有机肥 18000kg?hm-2) 和 FH4 (添加复合微生物菌剂 30.0kg?hm-2 ,有机肥 18000kg?hm-2) 处理显著提高了燕麦株高,增幅分别为23.69% 和 37.90% 。产量品质方面, HC3( 添加哈茨木霉菌菌剂 6.0kg?hm-2 ,有机肥 18000kg?hm-2) 和 FH3( 添加复合微生物菌剂 22.5kg?hm-2 ,有机肥 18000kg?hm-2) 处理,燕麦干草产量高达 10935.20kg?hm-2 和13 566.80kg?hm-2 ,分别较CK处理显著提高了 54.45% 和91. 62% ,且饲草品质显著提高。土壤肥力方面, HC5 (添加哈茨木霉菌菌剂 9.0kg?hm-2 ,有机肥 18000kg?hm-2) 和 FH4 处理土壤有机碳含量、全氮含量显著提高,同时土壤电导率显著降低。综上所述,菌剂与有机肥配施可促进燕麦生长发育,改善土壤肥力,以 HC3 和 FH3 处理效果最好,本研究为可持续农业生产提供了有效的施肥方案。
摘要:为明确乳酸菌对牧草的促生作用,以实验室分离鉴定的粪肠球菌(Enterococcus faecalis)、植物乳杆菌(Lacto-bacillus plantarum)、短乳杆菌(Lactobacills brevis)、乳酸乳球菌(Lactococcus lactis)、肠膜明串珠菌(Leuconostocmesenterodies)、乳酸乳球菌乳酸亚种(Lactococcus lactis subsp.lactis)为对象,用盆栽试验研究了其对杂交狼尾草(Pennisetumamericanum ×P :purpureum)生长、生理特性和抗氧化能力的影响。结果表明:喷施这7种乳酸菌菌液后,杂交狼尾草的株高、叶面积、叶绿素、可溶性糖和可溶性蛋白分别提高 33.1%~57.9%,44.8%~73.7% ,13.0%~25.6% 44.2%~124.8% 和 56.4%~79.9% ;叶片的过氧化氢酶(Catalase,CAT)、超氧化物歧化酶(Superoxide dismutase,SOD)、过氧化物酶(Peroxidase,POD)和抗坏血酸过氧化物酶(Ascorbate peroxidase,APX)活性分别提高 7.4%~211.8%,104.4%~176.3%,6.2%~22.4% 和 11.0%~74.4% ,丙二醛(Malondialde-hyde,MDA)含量降低 29.6%~56.0% ;叶片总酚含量提高 15.9%~36.1% 。与CK相比,植物乳杆菌、乳酸乳球菌乳酸亚种和短乳杆菌对杂交狼尾草促生、提质和增强抗氧化效果最好。
摘要:为了解沙埋对沙木蓼(Atraphaxis bracteata)出苗、生长及生理特征,以沙木蓼种子为研究材料,设置O,0.5,1,2,3,5和 7cm 的沙埋,观测种子出苗率和幼苗株高等生长特性以及渗透调节物质含量等生理指标的变化,发现沙木蓼种子在 0~5cm 的沙埋下都能够出苗, 7cm 埋深下无法出苗;随沙埋深度的增加,出苗率先升后降,出苗率及各生长指标在 2cm 埋深时最大;各处理MDA含量较 0cm 有不同程度的下降,3种渗透调节物质均呈先降后升再降再升的变化趋势,表现出协同调控的特点,抗氧化酶活性则在不同沙埋处理下呈现两两组合的协同作用。因此, 1~2cm 为沙木蓼种子出苗适宜的埋深,有利于幼苗生长。过浅或过深的沙埋均会对幼苗产生一定程度的胁迫,沙木蓼幼苗通过渗透调节物质及抗氧化酶的协调变化维持着植株的正常生长。
摘要:为筛选适宜宁夏灌区小黑麦茬复种的优质燕麦品种,优化饲草生产体系,助力草畜产业提质增效。本研究在小黑麦茬复种12份燕麦品种,对燕麦生产性能、营养品质及饲草分级进行了研究,发现12份燕麦干草产量最高的品种是‘青甜1号’ (8742.71kg?hm-2) ,其次为‘福燕1号' (8635.56kg?hm-2) ,且显著高于其它品种 (P<0.05) :‘福燕1号'粗蛋白产量最高 919.79kg?hm-2. ),其次是‘挑战者’ (887.78kg?hm-2) ,二者均显著高于其他品种 (P< 0.05)。在营养品质方面,挑战者'的粗蛋白含量和相对饲喂价值最高,其次为‘福燕1号’,其饲草分级指数最高。经主成分分析得出综合排名前3的品种为‘福燕1号‘‘挑战者'和‘青甜1号';聚类分析表明,12份燕麦可分为3类,其中第一类群产量表现突出,且均为主成分综合排名前 50% 的品种。综合考虑饲草产量和营养品质,适宜在宁夏引黄灌区小黑麦茬复种的燕麦品种分别为‘福燕1号’‘青甜1号'和‘挑战者’。
摘要:为探究微生物复配添加提升五节芒(Miscabthus floridulus)青贮品质的方法,本试验设计枯草芽孢杆菌(Bacillus subtilis)(添加或不添加,2个水平)与不同发酵类型的乳酸菌[嗜酸乳杆菌(Lactobacilus acidophilus)、布氏乳杆菌(L.buchneri)、植物乳杆菌 (L .plantarum)以及不添加乳酸菌的空白处理组,4个水平]复配进行 2×4 双因素完全随机青贮添加剂试验。青贮45d后,检测青贮饲料各指标并进行双因素方差分析。结果发现:添加枯草芽孢杆菌极显著影响五节芒青贮饲料的乳酸含量 Ω,pH 值、氨态氮:总氮、粗纤维、中性洗涤纤维、酸性洗涤纤维、半纤维素和粗蛋白含量( ?P<0.01) ,显著影响纤维素、粗脂肪、粗灰分含量和干物质损失率( ?P<0.05) ;不同类型乳酸菌除了不影响粗脂肪和丙酸含量外,对其他指标均有极显著影响( P<0.01) ;二者互作对五节芒的主要发酵品质、纤维品质和营养品质均有极显著影响 (P<0.01) 。除BSOLP组(仅添加植物乳杆菌处理组)有氧稳定时间是 113h ,其他处理组均超过 240h, 。灰色关联度分析法对8个处理组进行综合排序发现,枯草芽孢杆菌与植物乳杆菌复配对提高五节芒青贮品质效果最优;布氏乳杆菌单独使用或与枯草芽孢杆菌复配效果均欠佳。
摘要:为探究科尔沁沙地冬黑麦(SecalecerealeL.)的适宜播期,以‘白BK-1'为试验材料,2023年8月10日至10月4日,每7天播种一次,共9个播期,探究播期对冬黑麦返青率和生产性能的影响。研究表明:随着播期的延后,各指标均呈先升高后降低的变化趋势。在9月14日及9月21日播种,冬黑麦返青率达到 90% ,在9月14日播种冬黑麦返青率最高达到91. 53% ;在9月14日及9月21日播种成熟期干草产量达到 20.00t?hm-2 ,干草产量和株高最大值均出现在9月14日播下,其值分别为 20.41t?hm-2 和 170.11cm ;冬黑麦各生育时期粗蛋白含量表现为拔节期 > 抽穗期 > 成熟期,3个生育时期相应的最大值分别出现在9月7日、9月14日和9月14日播期下;在9月14日播期下,冬黑麦拔节期、抽穗期和成熟期的中性洗涤纤维和酸性洗涤纤维含量最低。综合考虑冬黑麦的饲草产量和品质,科尔沁沙地在9月14日—9月21日播种较为适宜。
摘要:为阐明微生物菌肥浸种对低温干旱复合胁迫下燕麦种子萌发及幼苗生理的调控机制,本研究以‘青海甜燕麦(‘Qinghaisweet oat')种子为材料,采用聚乙二醇(PEG-6OOO)模拟干旱胁迫 (0.0,-0.2,-0.4,-0.8,-1.0 MPa),结合低温环境(昼/夜温度为 10/5°C ,光周期为 10h 光照/14h黑暗),系统分析地衣芽孢杆菌菌肥(DY)EM菌肥(EM)及复合微生物菌肥(FH)浸种处理的抗逆效应。结果表明,微生物菌肥浸种缓解了低温干旱复合胁迫对‘青海甜燕麦'种子萌发的抑制作用。其中,FH处理的种子在发芽率、发芽指数、幼苗高度、胚根长度、可溶性内含物及抗氧化酶活性等方面表现优良。在 -0.8MPa 胁迫下,FH处理发芽率高达 84.00% ,超氧化物歧化酶(Superoxidedismutase,SOD)活性提高 68.85% ,过氧化物酶(Peroxidase,POD)活性达到82.67U· g-1 。在 -1.0MPa 胁迫下,FH处理幼苗鲜重为 0.30g ,可溶性糖(Soluble sugar,SS)含量为 12.24mg?g-1 ,SOD与POD活性分别为78.67和 76.67U?g-1 。隶属函数分析显示菌肥处理抗逆性排序为FH>EM>DY,相关性分析证实发芽参数与抗氧化酶活性呈显著正相关,除幼苗高度与丙二醛(Malondialdehyde,MDA)呈显著负相关,其余参数均与MDA呈负相关。综上,本研究表明‘青海甜燕麦'种子在播种时采用 0.1g?mL-1 复合微生物菌肥室温浸种 24h ,可通过增强抗氧化代谢与渗透调节能力,有效提高低温干旱复合胁迫下的出苗率,为高寒区燕麦抗逆栽培提供技术支撑。