摘要:近年来,随着国家对“碳中和"重视程度的不断增加,可再生能源在我国能源结构中的比重不断增加。作为可再生能源“领头羊"的太阳能光伏发电产业迅速发展,尤其是在我国北方干旱和半干旱等生态脆弱区域。随着太阳能光伏电站大规模建设,局部小气候、土壤理化性质和植被生存策略等发生改变,进而对当地生态系统和生物多样性造成一定程度的影响。目前,关于光伏电站建设对生物影响的综述主要集中在蝙蝠、鸟类和哺乳动物等生物,缺乏对昆虫影响的综述。本文就光伏电站通过影响局部小气候、植被和土壤对昆虫的影响以及光伏电站产生的光污染、磁场和噪音对昆虫的影响进行了文献综述,并讨论了当前研究中的问题和不足,以期为光伏电站的科学建设和利用提供参考。
摘要:高质量种子是高水平农业的重要体现。在全国种业蓬勃发展的背景下,种子活力研究近年来逐渐成为行业研究的热点与重点。探索种子活力调控机制对未来种质创新、良种繁育、种质资源保存、种子加工贮藏及质量控制等具有重要价值。谷胱甘肽(Glutathione,GSH)是植物体内不可替代的氧化还原缓冲剂,其相关代谢和调控因子在种子活力维持中的关键作用近年来逐渐被报道。本文系统综述了GSH在种子发育、老化及萌发过程中的动态代谢规律,重点阐述了GSH通过调节活性氧平衡、介导蛋白质氧化还原修饰、维持线粒体结构与功能、促进活性羰基物质解毒以及参与细胞信号转导等多种途径调控种子活力的分子机制。在此基础上,本研究整合了外源GSH处理对种子活力的影响证据,构建了GSH参与种子活力调控的主要途径模型,并针对当前研究存在的关键问题,提出了GSH在种子活力研究领域的未来发展方向和创新性研究思路。
摘要:本研究通过对可可西里4类典型高寒草地植被群落特征及营养供给状态的测定,核算了暖季牧草产量承载力、可消化粗蛋白承载力和代谢能承载力,以期为野生食草动物种群恢复提供数据支撑。结果显示:牧草干物质、可消化蛋白和代谢能单位面积营养物质输出量西藏嵩草和高山嵩草草甸显著高于紫花针茅和青藏草草原( ?P<0.01) ;牧草可消化蛋白和代谢能承载力西藏嵩草和高山嵩草草甸显著高于紫花针茅和青藏草草原 (P<0.01) ;紫花针茅草原、青藏草草原、高山嵩草草甸和西藏嵩草草甸合理产量承载力分别为0.12,0.13,0.17和0.28animals· hm-2 ,可消化蛋白承载力分别为0.38,0.33,0.55和0.79animals ?hm-2 ,代谢能承载力分别为0.21,0.22,0.29和0.46animals 结果表明,该区域承载野生食草动物数量远低于合理承载力,建议应加大生态保护力度,持续做好野生动物种群恢复工作。
摘要:生长素酰胺合成酶(Gretchen Hagen 3,GH3)作为生长素早期响应基因,在调控植物生长发育及逆境胁迫中扮演着关键角色。为挖掘野牛草(Buchloedactyloides)响应干旱非生物胁迫的 GH3 基因,本研究利用生物信息学方法,在‘中林育1号'野牛草(Buchloe dactyloides‘ZhonglinyuNo.1')基因组中鉴定出16个 GH3 家族基因。野牛草BdGH3基因在11条染色体上呈不均匀分布,保守基序及基因结构分析表明BdGH3基因多数含有Motifl~Motif10保守基序和0~2个外显子。15条BdGH3蛋白定位于叶绿体中。系统进化树分析表明 BdGH3聚类为3个亚家族。顺式作用元件分析表明BdGH3基因含有多个响应光信号、激素信号和干旱等逆境相关的顺式作用元件。表达模式分析结果显示叶中BdGH3.1和BdGH3.15基因,根中BdGH3.5和BdGH3.9基因的表达量水平在整个干旱胁迫时期均表现为持续显著上调表达。本研究结果为进一步开展野牛草BdGH3基因的功能研究和耐旱响应机制提供理论参考。
摘要:饲用燕麦(Auena satiruaL.)在草地畜牧业和生态可持续发展中具有重要作用,但其优良性状的遗传机制尚不明确。本研究通过对69份燕麦材料进行基因组重测序,筛选出47993754个SNP位点,并对9个农艺性状进行全基因组关联分析(GWAS),共鉴定到21O个显著关联的SNP位点,分布于各染色体,其中3C染色体分布最多,并挖掘出120个候选基因。分析发现,株高性状关联到受体激酶基因(ORK45、LRK45)和E3泛素连接酶基因Atlg63170 ,其家族基因在其他物种中已被证实调控株高;剑叶长、小穗数及种子数关联到含锌指CCCH结构域的蛋白基因,该基因参与植物生长发育及胁迫响应;叶绿素含量关联到ABC转运蛋白基因 .HY5 及乙烯应答转录因子基因,均与光反应相关。进一步对16个关键候选基因的10个SNP位点进行单倍型分析,发现多数位点不同单倍型间性状差异显著。本研究为饲用燕麦遗传改良提供了重要的基因资源和理论依据。
摘要:翅果菊(Lactucaindica)是一种兼具药用、食用及饲用价值的植物资源,其生物量大、适应性强,可作为优质饲草。目前,翅果菊的基因组信息仍比较匮乏,这限制了它的分子育种研究及资源利用。本研究利用流式细胞术和基因组 Survey等实验手段,对翅果菊的基因组大小及特征进行综合评估。染色体计数分析结果显示,翅果菊体细胞染色体数目为 2n=18 ;流式细胞术分析估测翅果菊基因组大小介于 4.26~4.50Gb 区间;基于二代DNA测序的K-mer分析结果表明,翅果菊基因组大小约 4.76Gb ,重复序列比例约 73.76% ,杂合率约 0.24% ;基因组初步组装后,获得了总长度为 4.02Gb ,重叠群 N50 达5070bp的初代翅果菊基因组。本研究提供了对翅果菊基因组的初步解析,为其未来分子育种及饲用价值挖掘提供了数据支持。
摘要:八氢番茄红素脱氢酶(Phytoene desaturase,PDS)影响类胡萝卜素的合成,是其合成途径中的关键酶。为了研究羊草(Leymuschinensis)PDS基因的功能,本试验从‘中科1号'羊草中成功克隆出 PDS 基因并进行了生物信息学分析、蛋白结构分析、亚细胞定位、转录自激活检测及表达模式分析。结果显示,该基因全长cDNA序列为1743bp,编码580个氨基酸。LcPDS蛋白可能存在叶绿体导肽,LcPDS蛋白与小麦(Triticum aestium)PDS蛋白的关系最密切。亚细胞定位显示该蛋白定位于叶绿体上。转录自激活试验显示LcPDS不具备自激活性。LcPDS基因在叶片的不同发育阶段间并无显著差异,在不同器官中表达量为根 > 叶 > 茎 ΔP<0.05) 。LcPDS基因受赤霉素、脱落酸、茉莉酸甲酯以及水杨酸4种激素调控。本研究为进一步研究 LcPDS 基因功能提供了科学依据。
摘要:荧光定量PCR技术因其高灵敏度、强特异性、操作简洁等优点,是基因表达分析的重要工具。为筛选出在非生物胁迫下白羊草(Bothriochloaischaemum)实时荧光定量PCR(qRT-PCR)适用的内参基因,本研究基于前期的转录组数据,选取了7个候选内参基因( ?18S,GAPDH,PAL,EF-1a,ACT,UBQ 和 TUB) 。在盐胁迫、干旱胁迫和冷胁迫下,采用qRT-PCR技术检测了白羊草叶片和根系中这7个候选基因的 Ct 值,并使用比较 ΔCt 法和4个分析软件(geNorm,NormFinder,BestKeeper和RefFinder)对7个候选内参基因进行稳定性排序。结果表明,不同胁迫下、不同组织中的最佳内参基因有所不同。干旱胁迫下,叶片中最佳内参基因为ACT和 PAL ,根系中为18S和 GAPDH ;盐胁迫下,叶片中最佳内参基因为 PAL 和 EF–1a ,根系中为TUB和UBQ;冷胁迫下,叶片中最佳内参基因为 ACT 和GAPDH,根系中为 PAL 和 ACT 最后,利用筛选出的内参基因对耐盐相关基因BiADH28的表达进行了验证,结果表明内参基因筛选结果可靠。本研究为白羊草在非生物胁迫条件下的基因表达分析提供了坚实的基础。
摘要:本研究以荒漠草原为研究对象,探究不同放牧强度对其微生境土壤细菌群落组成和多样性的影响。设置轻度放牧(LG)中度放牧(MG)和重度放牧(HG)三个放牧强度,无放牧区(CK,作为对照),并对生物结皮、裸地、优势种[短花针茅(Stipa breuiflora,SB)无芒隐子草(Cleistogenes songorica,CS)]基部土壤细菌16S rRNA序列进行高通量测序,从而分析放牧强度对不同微生境土壤细菌组成、Alpha多样性的影响。结果显示:(1)细菌门水平均以放线菌门、变形菌门、绿弯菌门和酸杆菌门为优势菌门,细菌属水平均以红色杆菌属、微枝形杆菌属、RB41、鞘鞍醇单胞菌属及Segetibacter为优势菌属。2)不同放牧强度对不同微生境土壤细菌的 ACE指数、Chaol指数和 Shannon指数无显著影响,短花针茅基部土壤及无芒隐子草基部土壤的Simpson指数均显著高于生物结皮 (P<0.05)(3)R DA分析结果表明,全碳、全氮、全磷、碳氮比、pH值和土壤湿度是驱动土壤细菌 α 多样性变化的环境因子。本研究揭示了放牧通过改变不同微生境土壤理化因子来影响荒漠草原土壤细菌群落构成,该成果为实现荒漠草原的可持续管理提供科学指导。
摘要:为了解青藏高原西南部高寒荒漠草原退化对土壤细菌群落的影响,选择未退化草地和退化草地,调查植物群落特征、土壤理化因子及细菌群落结构,分析环境因子对土壤细菌群落组成及多样性的影响。结果表明:未退化草地的植物多样性显著高于退化草地,同时,退化草地的土壤养分(全氮、有机碳等)明显下降,而pH值和有效态锰含量则增加,导致细菌多样性降低,此外,未退化草地的细菌共现网络更复杂,连接关系更紧密。整体来看,土壤环境对细菌群落的影响占 78% ,其中全氮和pH值起关键作用。RDA分析进一步表明,未退化草地细菌β多样性与全氮等呈正相关,与pH值等呈负相关,而退化草地的情况则相反。综上,高寒荒漠草原退化影响植被和土壤,进而改变细菌群落,其中土壤因子作用更大,全氮、有效态锰、pH值、有效态铜、有效硫是主要驱动因子。
摘要:探究施肥对乡土植物土壤真菌群落的影响,为高寒地区野生牧草种质资源的合理栽培和繁育提供理论依据。本研究以‘巴青'垂穗披碱草(Elymus nutans‘Baqing')草地的土壤真菌群落为研究对象,分析不同施肥处理[对照(N0P0K0) 、缺素区 (N0P2K2K2,N2P2K0) 、全肥区 (N2P2K2) ]对土壤真菌群落的影响。结果表明:施肥后 N2P2K0 处理独有扩增子序列变异体(ASVs)数量有升高的趋势。相比对照,全肥区真菌群落的香农多样性指数和均匀度指数显著下降( ?<0.05) 。缺素区 N2P2K0 处理丰富度指数和香农多样性指数显著高于全肥区 (P<0.05) 。土壤速效氮 .P<0.05) 和土壤 pH(P<0.01) 是群落门水平物种变化的显著影响因子;属水平物种变化的显著影响因子为土攘速效磷 ?P<0.05) 。共现网络分析显示,9个关键节点ASVs分别隶属于子囊菌门(5个)担子菌门(3个)和被孢霉门(1个)。综上所述,全肥区显著降低了真菌群落的香农多样性和均匀度指数,相较全肥区对真菌群落多样性的影响,氮磷共施更有利于丰富度和香农多样性指数提升。关注共现网络中的关键节点菌属对进一步研究土壤真菌群落组装过程及其功能预测具有指导意义。
摘要:本研究从高寒沙化地人工扦插杯腺柳(Salixcupularis)根际筛选优良植物根际促生菌(Plant growth promoting rhizobacteria,PGPR),研究菌株溶解有机磷、溶解无机磷、固氮、分泌激素特性,对优良菌株进行分子生物学鉴定,并将综合特性优良的菌株进行盆栽效果验证。结果表明,筛选获得溶有机磷菌株18株,溶磷量为 88.31~ 405.63μg?mL-1 ;溶无机磷菌株18株,溶磷量为 28.61~946.36μg?mL-1 ;固氮菌株11株,固氮酶活性为 36.08~ 231.14 nmol· (h?mL)-1 ,分泌吲哚乙酸(Indole-3-acetic,IAA)菌株8株,分泌量为 10.10~22.27μg?mL-1 。经分子生物学鉴定,菌株以假单胞菌属(Pseudomonas)为主。盆栽效果验证表明,M5FRS,5FRP,P2OFRP三株菌株综合促生效果较好。本研究获得的优良PGPR将用于后续具有地区针对性的微生物菌剂的制备,从而为高寒地区植物促生、沙化地恢复以及微生物菌肥开发利用提供理论技术支持。
摘要:为了解不同饲草的青贮品质与微生物多样性差异,本研究设置青贮玉米(C组)、紫花苜蓿(M组)、甜高粱(S组)巨菌草(P组)、饲草谷子(G组)5个鲜草处理组,青贮6Od后开袋,测定发酵参数、营养指标及微生物多样性。结果表明:C组的pH最低,乳酸含量最高,发酵品质最优。M组、P组、G组的pH在 5.3~5.7 间,且有较高含量丁酸产生,发酵品质差。S组的 pH 、乳酸含量及青贮品质低于C组,高于M组、P组、G组。16SrRNA基因测序显示,C组的细菌多样性最低,与其他4组差异较大。门水平,C组、M组、P组、G组的优势菌为厚壁菌(Firmicutes,77.92%.45.90%.48.02%.70.73%) 与变形菌(Proteobacteria, 18.14%.52.92%.47.89%.13.62%) 。S组的为厚壁菌(81. 05% )。属水平,优势菌C组的为乳杆菌(Lactobacillus, 64.87% 。S组的为乳杆菌 (52.15% 与魏斯氏菌(Weissella,18. 76% )。P组的为乳杆菌( 35.03% 、泛细菌(Pantoea,16. 00% )不动杆菌(Acinetobacter, 14.15% 、魏斯氏菌(12. 44% )等。M组的为肠球菌(Enterococcus, 33.87% 、unclassified_f_Enterobacteriaceae(29. 88% )肠杆菌(Enterobacter,1l. 05% )等。G组的为Clostridium_sensu_stricto 12(25.01% )乳球菌(Lactococcus, 19.30% )、肠球菌(18. 57% )等。综上可见,5种饲草的青贮质量不同,其青贮料的微生物组成与结构差异也较大。该研究结果可为饲草优质青贮料的生产提供理论依据。
摘要:为探究盐碱地紫花苜蓿(Medicago satiuaL.)在干燥过程中营养品质与干燥时间的对应关系,以及呼吸代谢酶活性与紫花苜蓿干燥过程中营养品质的相关关系。本研究通过设置非盐碱地(CK)与盐碱地(LS)处理和紫花首蓿干燥过程中7个干燥时间节点,探究其营养品质含量及呼吸代谢相关酶活性随干燥时间的变化规律。结果表明:除CK的粗灰分(Crudeash,Ash)外,干燥时间显著影响紫花苜蓿营养指标。盐碱胁迫(LS)提升了粗蛋白质(Crudeprotein,CP)(22. 35% vs CK 20.58% 和相对饲喂价值(Relative feedvalue,RFV)(137.13vsCK104.6O)。干燥8 h后,CK中丙酮酸激酶(Pyruvate kinase,PK)、磷酸已糖异构酶(Glucose-6-Phosphate Isomerase,GPI)、丙酮酸脱氢酶(Pyruvate dehydrogenase,PDH)、琥珀酸脱氢酶(Succinate dehydrogenase,SDH)、细胞色素氧化酶(CytochromecOxidase,COX)活性显著下降而交替氧化酶(Altermative oxidase,AOX)上升;LS仅COX下降且AOX上升。LS总体上抑制呼吸代谢酶活性。相关性显示CK中COX与CP、LS中AOX与CF、NDF显著相关,且LS显著影响AOX,COX。综上,盐碱胁迫通过调控EMP,TCA,PPP途径及电子传递链(关键酶COX、AOX),降低了紫花苜蓿干燥过程的营养损耗。
摘要:本研究以21份国内外猫尾草(Phleum pratense)种质为研究对象,从农艺和品质性状角度分析其遗传多样性,为猫尾草合理选配亲本和新品种选育提供科学依据。结果表明,2023、2024年供试猫尾草种质的株高、单株干重、单株叶干重、单株茎干重、茎叶比分别在 40.2~87.5cm,1.83~7.69g,1.02~4.61g,0.81~3.40g,0.62~0.909g 范围内变动,干物质、粗灰分、粗蛋白、粗脂肪、中酸性洗涤纤维、相对饲喂价值、可消化干物质、干物质采食率分别在94.25%~96.94% , 6.62%~10.80% , 5.77%~9.86% , 0.96%~3.30% , 40.71%~54.04% ,21 .61%~37.16% ,102.31%~164.32%,59.95%~72.05%,2.17%~2.87% 范围内变动。利用两年各指标均值进行主成分分析,4个综合因子累积贡献率达 90.360% ;聚类分析发现,21份种质可分为4类,其中材料9451和10676同属第1类群,综合评分最高,可作为猫尾草新品种选育和改良的优异亲本材料;逐步回归分析筛选出相对饲喂价值、粗蛋白、粗脂肪、粗灰分、单株茎干重和株高等6项指标,可作为评价优质猫尾草种质的首选指标。
摘要:为探究接种解磷菌对紫花苜蓿(Medicago satiuaL.)光合特性、抗氧化活性及产量的影响,本研究采用单因素随机区组设计进行盆栽试验,设置6个处理[包括不接种(CK),单接种菌株 Y015(Y015) , Y316(Y316) W003(W003) ,WO06(W006) , Y014(Y014) ]。结果表明:与CK相比,接种解磷菌显著提高了叶片磷含量 (P<0.05) 。同时,接种解磷菌使紫花苜净光合速率、蒸腾速率、气孔导度、胞间 CO2 浓度、光能利用效率和瞬时水分利用效率分别提高了11.01%,32.70%,25.97%,7.85%,10.54% 及 5.29% ,气孔限制值降低了 11.69% 。接种解磷菌显著提高了叶片可溶性糖和非结构碳水化合物含量,同时增强了超氧化物歧化酶活性和还原性谷胱甘肽含量 (P<0.05) ,并使产量提高了 15.95% 。不同处理的综合得分依次为: Y316>W003>Y015>W006>Y014>CK ,因此,解磷菌可以通过提高紫花苜蓿的光合性能及抗氧化活性,提高紫花苜蓿产量,实现农业可持续发展。
摘要:为揭示半干旱农牧交错带盐碱退化草地生态系统的养分特征与稳定机制,本研究以晋北地区轻、中、重度盐碱退化草地为对象,比较了土壤-植物-微生物系统中碳、氮、磷含量及其化学计量比的变化,并分析了各组分间的耦合关系及化学计量内稳性特征。结果表明:随着盐碱化程度加剧,土壤氮含量、植物地上部与根系碳、氮含量以及微生物生物量碳、氮、磷含量均显著降低,而植物地上部与根系磷含量显著升高;盐碱化导致土壤和植物根系的氮磷比、碳磷比及植物地上部的碳磷比显著下降,草地氮限制进一步加重。土壤磷含量及其与碳、氮的化学计量比调控了植物和微生物的生态化学计量平衡。植物地上部化学计量指标的内稳性强于根系和土壤微生物。综上,在半干旱盐碱退化草地的生态修复中,应考虑通过合理施肥缓解养分限制,并引人固氮植物以提升草地生态系统稳定性。
摘要:为了开发利用红豆草(Onobrychis uiciaefolia)种质资源,本研究以46份国内外红豆草种质为材料,对其主要品质指标进行了测定。通过变异系数分析、相关性分析、主成分分析、聚类分析以及综合评价等多种方法,对这些种质的品质性状进行了系统研究。结果表明:粗蛋白的变异系数为 11.64%,9,42,45 和46等4份种质的粗蛋白含量超过 25% ,种质39最高达到了 25.92% ;种质14和42具有 20% 左右的酸性洗涤纤维和低于 27% 的中性洗涤纤维;木质素的变异系数也较高,达到了 14.25% ;缩合单宁含量变化范围大,从种质21的 0.06% 到种质7的 5.74% .变异系数达到了 66.67% ,远高于其它性状的,种质19,32和7的缩合单宁含量超过了 5% ;经主成分分析和综合指标评价可知,种质14,42,33和16,属于较优异的种质。本研究结果为高粗蛋白、较低纤维、较低木质素和较高缩合单宁含量的新品种选育提供了种质材料和理论依据。
摘要:为评价适合青藏高原地区种植的高产稳产老芒麦(Elymus sibiricus)新品系,本研究以青藏高原地区筛选的9个优良老芒麦材料为研究对象,对其连续3年的种子产量和农艺性状进行了评价,旨在为下一步选育适合青藏高原地区种植的高产稳产老芒麦品种提供理论依据。结果表明:老芒麦不同材料间和不同年份间对种子产量和农艺性状有显著影响,其中老芒麦生长第二年种子产量最高,平均为 102.53g ·株-1。而在不同材料中,16-118,16-054和18-211的种子产量更高且更稳定,3份材料3年的种子总产量和平均产量分别为 268.96g ·株-和 89.65g 株-1、260.68g 株-和 86.89g ·株 1,256,27g ·株-和 85.42g ·株-1。主成分分析和冗余分析表明,单序籽粒数、单穗干重、着粒密度、穗长和小穗数是影响种子产量的主要农艺性状。小穗数、千粒重和穗长与种子产量的正相关性最强,有效分藥数对种子产量的影响最大。9份老芒麦材料综合评价表明,18-211,16-118,16-054和13-206在种子产量和农艺性状方面具有较强的优势,其中,18-211,16-118和16-054在种子产量、关键农艺性状单序籽粒数、小穗数、单穗干重和着粒密度上的变异系数较低,适用于种用型老芒麦选育。
摘要:有性生殖一直是植物种群生态学研究的核心问题,对于无性系植物种群的适应至关重要。为研究不同生境下无性系植物有性生殖过程中生殖株数量特征的动态,本研究对不同生育期内,天然草甸、人工草地和弃耕地中的羊草(Leymus chinensis)生殖株数量特征进行了取样分析。结果表明:不同生育期下,生境对羊草生殖株数量特征均产生显著影响。三种生境中,生殖株株高和花序长在开花期显著增大,叶生物量及其分配显著减小,而开花期之后这4个指标基本无明显变化;茎、花序、株生物量以及茎生物量分配和生殖分配在开花期显著增大,且最大值出现在乳熟期或完熟期。单个花序种子数、结实率和种子生物量最大值出现在生长着紫花苜蓿的弃耕地生境。可见,乳熟期或完熟期是羊草有性生殖养分积累的关键时期,生境中豆科牧草的存在提高了羊草种群的有性生殖表现。
摘要:过度放牧会破坏草地,严重影响荒漠草原植被特征,导致土壤风蚀现象频发。本研究以内蒙古短花针茅荒漠草原为研究对象,在长期风蚀监测及梯度放牧实验平台中,通过使用地基激光雷达(Terrestriallaser scanner,TLS)对2023年8月样地实施多站扫描,系统测定不同放牧强度下草地风蚀物与植被特征数据(植被盖度、高度、疏透度),分析植被特征与风沙通量的变化规律及其二者间的相互关系。结果显示:(1)TLS测定表明,植被高度、盖度与放牧强度呈显著负相关 (P<0.05) ,植被疏透度则与之呈极显著正相关( P<0.001 ,放牧强度增大致使草地斑块化加剧。(2)放牧强度增加提升总风沙通量,尤其是 0~30cm 近地面高度处影响显著 (P<0.05) ,轻度(LG)、中度(MG)重度(HG)放牧区的总风沙通量分别是对照区(CK)的0.36,0.78和0.90倍。(3)植被特征显著影响近地面风沙通量,植被盖度、高度与其呈负相关,植被疏透度呈显著正相关 (P<0.05) ,植被盖度为主要影响因素,同一高度处植被疏透度作用凸显。因此,合理放牧对维持草地生态系统稳定、抵御风沙侵蚀具有一定意义。
摘要:针对高海拔地区西宁市耐践踏草坪草品种筛选问题,本研究以13个草地早熟禾(Poa pratensisL.)品种为试验材料,设置无践踏、轻度践踏、中度践踏3个处理,通过测定坪观质量、生长特性和运动质量等13项指标,利用灰色关联度分析法进行耐践踏性综合评价。结果表明:归一化植被指数(Normalized diference vegetation index,NDVI)、色泽和株高在轻度践踏下部分品种显著增加,在中度践踏下,显著降低,但‘赛威’和‘蓝魔'变化不显著。多数品种地上生物量在轻度践踏下均有提高,中度践踏下则下降,各品种地下生物量在践踏处理下均降低。蓝魔”‘飞达'和‘午夜'在中度践踏下能维持较高根系表面积与体积。此外,践踏显著提高土壤紧实度、表面硬度和球反弹率。运用灰色关联度分析法综合多指标评价显示,午夜’飞达’和‘蓝魔'表现最优,值得推荐。该研究结果为高海拔地区城市绿地和运动场草坪的草种选择提供了依据,可根据践踏强度优化草种,提升经济效益。
摘要: α- 蒎烯( α -pinene)是三江源高寒草地几种主要毒杂草释放的可抑制优良牧草垂穗披碱草(Elymus nutans)的重要化感物质,但 α -蒎烯对垂穗披碱草土壤特性及其幼苗生长的影响尚未明确,特别是不同缓解时间下的作用效果仍不清楚。本研究以 α? -蒎烯、垂穗披碱草原生土壤及垂穗披碱草种子为研究材料,利用BIOLOG技术,测定了单一化感物质对土壤化学性质、微生物相关指标和垂穗披碱草种子发芽、幼苗苗高、根长等相关生长指标的影响。结果表明: α- 蒎烯处理垂穗披碱草土壤后,随着缓解时间的延长,土壤氮素供应情况得到改善; α- 蒎烯与土壤微生物具有相互反馈的作用, α -蒎烯对土壤微生物产生负面影响,对微生物活性具有滞后性的抑制作用,且随着缓解时间的延长土壤微生物碳源利用强度减弱,而土壤微生物通过改变碳源中氨基酸类利用能力对 α -蒎烯的化感作用产生积极响应; α- 蒎烯与土壤微生物的反馈作用同样表现在垂穗披碱草幼苗中, α? -蒎烯处理土壤后在幼苗根部表现出抑制作用,且土壤微生物的存在能够缓解 α -蒎烯的化感抑制作用。上述研究结果为深入了解毒杂草的重要化感物质对垂穗披碱草人工草地产生的化感作用机制提供参考。
摘要:本研究以‘乌苏1号'无芒雀麦(Bromus inermis‘WusuNo.1')为试验材料通过预实验确定 100mmol?L-1N aCl为盐胁迫浓度,采用盆栽试验,于盐胁迫条件下分别喷施不同浓度(0.01,0.1,1和 10μmol?L-1) 的2,4-表油菜素内酯(2,4-Epibrassinolide,EBR),通过测定无芒雀麦幼苗的表型性状、抗氧化酶活性和渗透调节物质含量,探究外源EBR在盐胁迫下对无芒雀麦幼苗生理特性的影响。结果表明: 100mmol?L-1Na Cl盐胁迫显著抑制了无芒雀麦的株高、叶长、叶面积,而在盐胁迫下喷施EBR后可显著提高无芒雀麦幼苗的超氧化物歧化酶(Superoxide dismutase,SOD)、过氧化物酶(Peroxidase,POD)、过氧化氢酶(Catalase,CAT)活性及渗透调节物质含量,显著降低丙二醛(Malondialde-hyde,MDA)含量。通过综合评价分析确定在NaCl盐胁迫下喷施 0.1μmol?L-1 EBR可以有效促进无芒雀麦幼苗生长发育,减轻盐胁迫造成的膜脂过氧化伤害。本研究结果可为增强无芒雀麦抗盐能力提供理论依据和参考。
摘要:本研究利用20份不同来源的燕麦(Auena satiruaL.)种质资源为实验材料,分别在萌发期和苗期进行200mmol·L-1NaCl处理,以蒸馏水作为对照处理,系统地评估了燕麦在萌发期和苗期的耐盐性表现。种子萌发期测定胚芽鲜重、胚根鲜重、胚芽干重、胚根干重、胚芽长、胚根长、根数;苗期测定形态指标,包括茎叶鲜重、根鲜重、茎叶干重、根干重、茎叶长、根长、根数,并且在苗期测定多项生理指标,包括丙二醛、超氧化物歧化酶、过氧化氢酶、过氧化物酶、脯氨酸、可溶性糖。结果表明:20份种质材料在 200mmol?L-1NaCl 处理下,萌发期及其苗期的形态指标均有不同程度下降,各材料生理指标也均有上升或者下降趋势。主成分分析表明,胚根鲜重、胚根长、胚芽长可作为燕麦萌发期耐盐性评价的综合鉴定指标,根干重、根鲜重、丙二醛、超氧化物歧化酶、过氧化氢酶、过氧化物酶、脯氨酸、可溶性糖可作为燕麦苗期耐盐性评价的综合鉴定指标。基于综合评价D值,筛选出耐盐材料 k200 和k155;敏盐材料k13和k55。该研究通过燕麦萌发期和苗期耐盐性的综合评价分析,为选育饲用燕麦耐盐新品种、改进耐盐评价方法提供了理论依据和基础材料。
摘要:为揭示氮(N)、磷(P)添加对草地植物适应策略的影响机制。本研究通过10年元素添加试验,分析优势上层物种羊草[Leymus chinensis(Trin.ex Bunge)Tzvelev]和亚优势下层物种二裂委陵菜[Potentilla bifurca(L.)Kurtto&T.Eriksson]的表型及养分性状响应。结果表明:氮添加显著提升两种植物的地上生物量、株高、茎叶形态指标、叶片含氮量及氮磷比,同时降低叶片干物质含量与组织密度。氮磷共施时,随磷添加量增加,羊草叶面积指标及叶磷含量上升,而叶干物质含量等下降;二裂委陵菜则地上生物量、茎叶指标及叶磷含量增加,株高、叶氮含量及氮磷比降低。氮添加使两种植物功能性状趋同响应,加剧生态位重叠与种间竞争;氮磷共施引发功能性状分化,降低二裂委陵菜株高,促进生态位分离,缓解竞争并提升群落稳定性。研究揭示了呼伦贝尔草地植物对氮磷添加的响应规律,为理解养分增加下的植物适应策略提供参考。
摘要:为探究放牧强度对荒漠草原风蚀作用的影响,本研究以内蒙古荒漠草原为研究对象,设置对照(无放牧)轻度(LG)中度(MG)及重度(HG)放牧,每个放牧区中放置4套具有4个集沙高度 (0cm,10cm,30cm 和 100cm, 的集沙装置,通过使用扫描电镜和比表面积分析仪对2024年生长季风蚀物观测。分析结果表明,风蚀物颗粒中簇状和片状占比主要受集沙高度的影响,块状颗粒占比最大且受放牧强度的影响较明显;大于 0.25mm 的颗粒含量随放牧强度和集沙高度的增加逐渐减少,而小于 0.25mm 的颗粒含量变化结果与之相反;风蚀物颗粒比表面积随集沙高度和放牧强度增大而增大。综上所述,放牧在一定程度上会加剧土壤风蚀,放牧强度增大,风蚀物颗粒逐渐细化,增大风蚀物颗粒污染物吸附容量,将对生态系统及人类健康造成威胁。
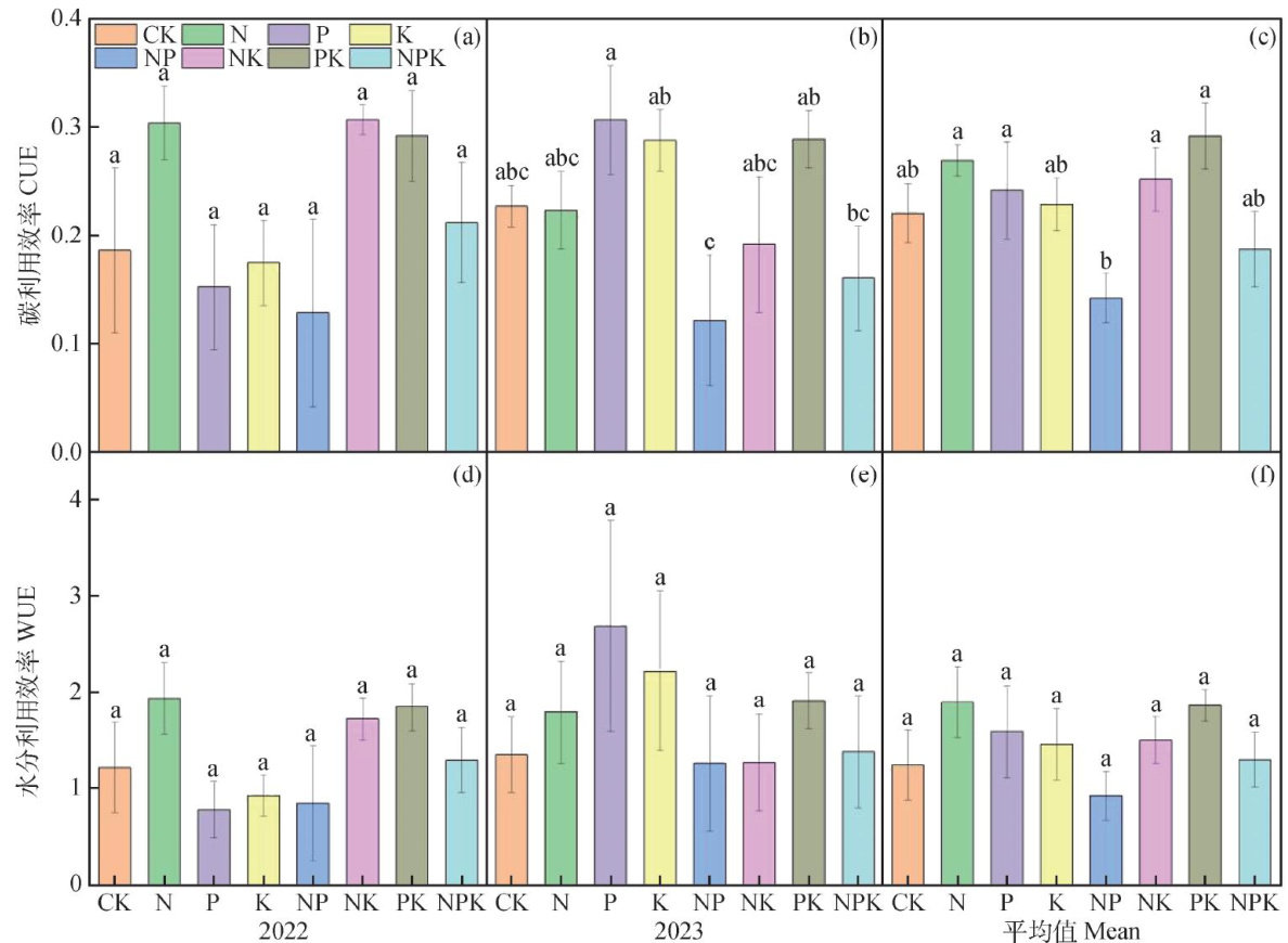
摘要:氮、磷、钾添加及其交互作用对农牧交错带草地生态系统碳交换的影响及其驱动机制研究尚不清晰。本研究以晋北赖草草地为研究对象,依托于山西右玉试验站养分添加平台,设定对照(无添加养分)氮、磷、钾及其交互添加的处理,探究养分添加对晋北赖草草地生态系统碳交换[生态系统净碳交换(Net ecosystem carbon exchange,NEE),生态系统呼吸(Ecosystem respiration,ER)和生态系统总初级生产力(Grossecosystem productivity,GEP)]的影响。结果表明:与对照相比,单独氮添加对碳交换(GEP,ER,NEE)的影响不显著;在单独磷添加下,ER显著提高了 26.5% ,GEP显著提高了 29.6% ;单独钾添加对碳交换(GEP,ER,NEE)的影响不显著;在氮、磷交互处理下,ER显著提高了 37.0% ,GEP显著提高了 23.4% ;在磷、钾交互处理下,GEP显著提高了 28.1% ;在氮、磷、钾交互处理下,ER显著提高了 30.2% ,GEP显著提高了 25.3% 。综上所述,磷添加以及其他养分的交互作用对ER和GEP的显著影响;然而由于ER和GEP对养分添加较近的敏感性,使得NEE无显著改变。本研究强调了草地管理中应注重磷的有效性以及磷与其他养分交互使用。
摘要:农户持续保持退耕还草成果是巩固草地生态建设成效的有力保障。本文利用首都"两区"坝上农牧交错带384份农户数据,分析了生态价值观、环境情感、宣传教育对退耕还草成果保持意愿的影响。结果表明:生态价值观促进环境自豪感和成果保持意愿,抑制环境愧疚感;环境自豪感促进成果保持意愿,环境愧疚感抑制成果保持意愿;环境自豪感和环境愧疚感是平行中介,起部分中介作用,且环境自豪感的作用强于环境愧疚感;宣传教育具有调节作用,增强了生态价值观、环境愧疚感对成果保持意愿的影响,削弱了环境自豪感对成果保持意愿的影响,调节了生态价值观通过环境自豪感影响成果保持意愿的中介关系。最后本文从认知培育、行为激励、情感联结、制度保障4个层面提出了政策建议。
摘要:风蚀是中国北方干旱半干旱草原区主要的生态环境问题之一,风蚀不仅影响草原生态系统的稳定性,还会加剧土地退化和沙漠化问题,是影响该区域农业生产和生态安全的关键因素。本研究选择了不同的放牧梯度,旨在探究放牧强度与风沙通量及风蚀影响因子之间的关系,并优化风蚀模型的预测能力。本试验在荒漠草原放牧试验地开展,采用随机区组设计,有不放牧(CK)轻度放牧(LG)、中度放牧(MG)和重度放牧(HG)4个处理,每个处理3次重复。基于2021一2022年不同放牧梯度风沙通量及风蚀影响因子指标的观测,对RWEQ模型中部分经验参数进行校准和对临界起沙风速的计算方法进行优化。研究结果表明:优化后的RWEQ在对2022年不同放牧强度下的风沙通量的预测值和实测值的拟合较好 d=0.67,R2 的拟合度为 0.9365,P<0.01 ,预测与实测风沙通量相关性较好。优化后的RWEQ在荒漠草原不同放牧强度试验区的预测结果对制定合理的放牧强度、规划放牧时间、指导植被恢复、评估放牧对生态系统健康的影响具有较大的参考价值。
摘要:为探讨高寒区燕麦(Auena satiua)混播系统生产力与营养品质的协同提升效应,本研究选用4种优质饲草(‘兰箭3号'箭筈豌豆(Vicia sativa)、青海l3号'蚕豆(Vicia faba)、青建1号'饲用豌豆(Pisum satium)、饲油2号'油菜(Brassicanapus))与‘青引1号'燕麦按5种比例 (2:8,4:6,5:5,6:4,8:2) 混播,测定地上生物量及营养成分,计算土地当量比、相对产量和竞争比,并采用TOPSIS模型对混播效应进行综合评价。结果表明:不同混播组合在产量、品质及种间关系方面差异显著。燕麦与饲用豌豆4:6混播时干草产量最高( 10368.73kg?ha-1Ω ,且粗蛋白产量和土地当量比也显著高于燕麦单播;燕麦与箭筈豌豆8:2混播时干草产量次之 (9432.63kg?ha-1) 。在竞争性方面,燕麦与蚕豆或箭筈豌豆2:8混播组合表现出较高的相对产量和竞争优势。单播蚕豆和豌豆的粗蛋白含量较高,单播油菜的粗脂肪含量较高。燕麦与其他饲草混播时降低了饲草的粗纤维含量,提升了饲喂价值。结构方程模型显示,混播比例对产量、营养成分、饲喂价值及竞争关系均具有直接正向作用,并通过调控营养与竞争关系间接促进产量提升。TOPSIS综合评价表明,燕麦与饲用豌豆4:6混播组合在产量与品质方面兼具优势,是高寒区优选的饲草混播模式。
摘要:本试验旨在探究外源性酶制剂对玉米秸秆中纤维降解效能的影响。试验以玉米秸秆为原料,设计4个处理组:对照组不添加外源性酶制剂、试验1组添加 1g?kg-1 葡聚糖酶、试验2组添加 1g?kg-1 纤维素酶1和试验3组添加 1g?kg-1 纤维素酶2。试验结果显示,所有添加外源性酶制剂的试验组均对玉米秸秆中的木质纤维素降解产生了积极影响。其中,试验3组的酸性洗涤纤维含量和中性洗涤纤维含量与对照组相比显著下降( (P<0.05) ,而粗脂肪含量和可溶性碳水化合物含量均显著上升 ?P<0.05) 。基于OPLS-DA模型对对照组和试验3组(常规营养物质检测结果表明试验3组降解木质纤维素的效果最佳)进行筛选,共筛选出18种共同显著差异代谢物( ?P<0.05) ,且涉及的主要通路有植物次生代谢产物的生物合成、ABC转运蛋白和核苷酸代谢。综上所述,添加纤维素酶2可有效降低木质纤维素含量,这一研究结果为外源性酶制剂在玉米秸秆中的应用提供理论依据。
摘要:为探寻缓解植物铅(Pb)、镉(Cd)胁迫的高效、绿色方法,本研究将氯化钙 (CaCl2) 与24-表油菜素内酯(24-Epibrassinolide,24-EBL)协同施用,构建"钙信号调节 + 植物激素调控"的复合干预体系,并应用于 胁迫下的菊苣(CichoriumintybusL.),期望通过二者协同效应,增强其抗性。试验优化出3种处理组合:B( CaCl2 5mmol L-1+ 24-EBL 0.06mg·L-1) 、C( CaCl2 10mmol ·L-1+24 -EBL 0.04mgL-1) 、D CaCl2 10mmol L-1+24 -EBL0.06mg·L-1) 。在不同Pb、Cd胁迫条件下,分别用B、C、D组处理菊苣并测定其生理指标。结果表明,B、C、D组在降低菊苣各部分Pb、Cd含量及提高Pb、Cd抗性方面表现出差异化。灰色关联分析发现,B组 (CaCl25mmol·L-1+ 24-EBL 0.06mg·L-1) 在缓解 对菊苣幼苗造成的氧化损伤、降低菊苣体内 含量、促进非酶抗氧化物循环及多酚合成方面效果最佳。
摘要:全株青贮玉米(Zea maysL.)是“粮改饲"政策的主要牧草作物。为筛选出适合河南地区推广应用的全株青贮玉米最佳种植密度,本研究选取全株青贮玉米品种‘青玉18'为试验材料,设置3个处理组,分别为低密度组(6.75万株· hm-2. 、中密度组(7.5万株 和高密度组(8.25万株 ,测定各处理组的营养成分和康奈尔净碳水化合物-蛋白质(Cornellnetcarbohydrate and protein system,CNCPS)组分,并结合傅里叶变换红外光谱(Fouriertransform infrared spectroscopy,FTIR)技术对其分子结构进行测定。结果表明:低密度组青贮玉米粗蛋白(Crudeprotein,CP)含量显著高于中密度组和高密度组 (P<0.05) ;高密度组和中密度组青贮玉米中性洗涤纤维(Neutraldetergent fiber,NDF)、酸性洗涤纤维(Acid detergent fiber,ADF)含量显著高于低密度组( (P<0.05) 。青贮玉米各组间蛋白质和碳水化合物分子结构光谱参数无显著差异,但与部分营养成分显著相关( (P<0.05) 。综合分析得出,6.75万株· hm-2 种植条件下,全株青贮玉米品种‘青玉18’营养价值及分子结构表现较好,适合在河南地区推广种植。
摘要:为研究在不同氮素水平下接种大豆根瘤菌对杂交饲用大豆(Glycine soja Sieb.et Zucc)生长和生理的影响,以‘蒙农S006饲用大豆'(Glycine soja Sieb.et Zucc cv.HybridF-SO06),简称SOO6,为试验材料,采用蛭石种植,设置4个氮素水平 CK(0g?kg-1) ,N1(0.714g?kg-1),N2(1.428g?kg-1),N3(2.142g?kg-1) ,分别接种3株分离自试验地种植小区中SO06根部根瘤的根瘤菌命名为 (Z1,Z2,Z3) ,研究在不同氮素水平下接种根瘤菌对S006株高、根瘤、叶长、叶宽、生物量、光合指标、可溶性糖含量、过氧化氢酶含量等指标的影响。接种根瘤菌后30d后,对SO06生长指标和生理指标进行测定。结果显示,在施用氮素为 N2 水平下,能显著增加SO06的光合作用和生物量,且在根瘤菌Z1 的处理下,对生理的影响较为显著。